🇳🇴 🇬🇧 🇩🇪 🇨🇿 🇫🇮

Meteor, poloha: Ă…mot 2018-11-26 21:10:19 UTC

Soubor KML  |  InteraktivnĂ­ mapa

Mapa zobrazuje dráhy meteoru. Světlejší čáry ukazují směry od pozorovacích stanic při objevení se meteoru a tmavší čáry, kde byl naposledy viděn. Modrá šipka značí viditelnou dráhu meteoru.

static map
height profile
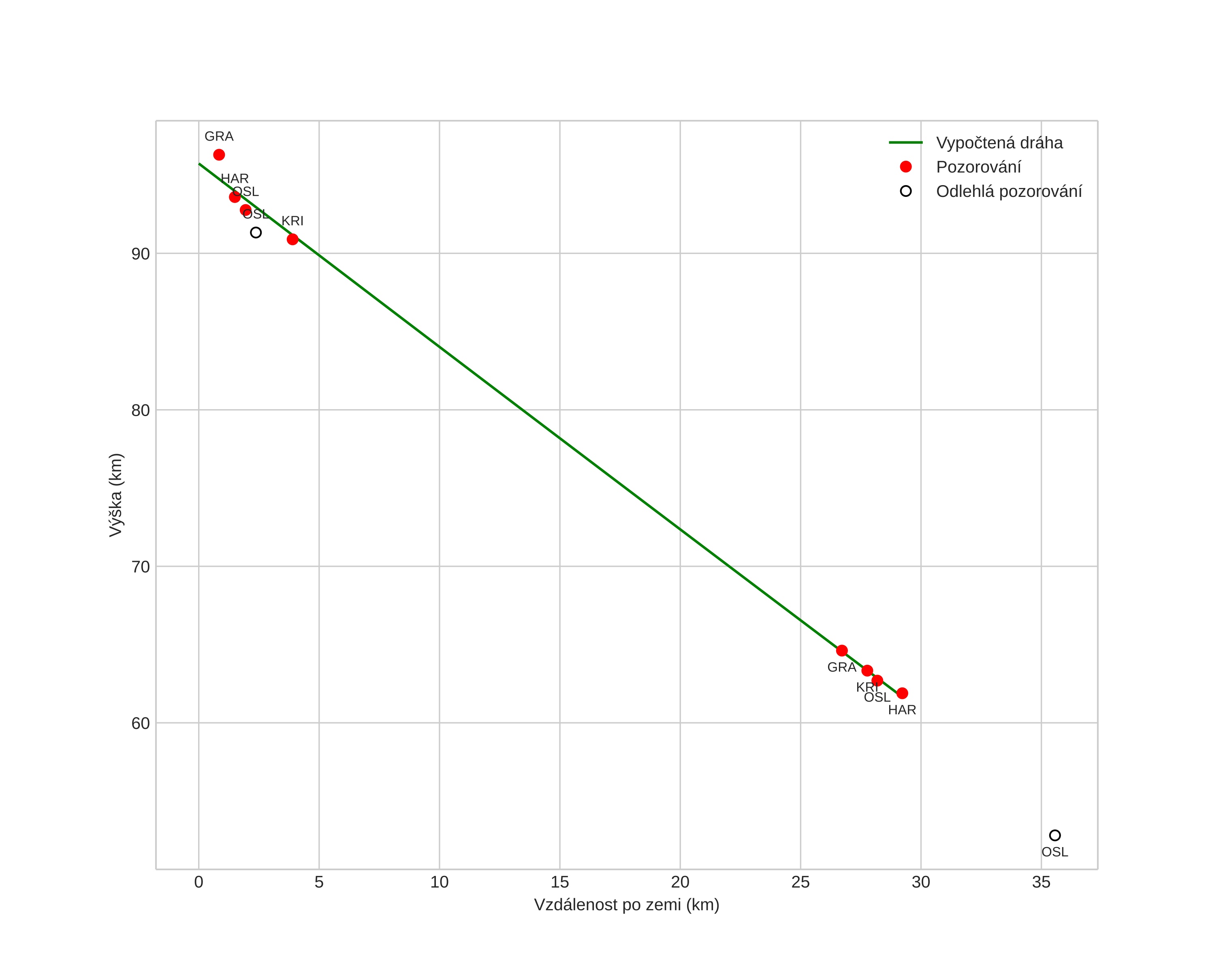
Atmosférická dráha meteoru:
Počáteční výška: 95,7 km
Konečná výška: 61,8 km
Počáteční poloha: 59,520N 8,681E
Konečná poloha: 59,666N 8,252E
Směr: 304,2°
Sklon: 49,3°
VstupnĂ­ rychlost: 29,1 km/s
Rektascenze radiantu: 04:38 (69,6°)
Deklinace radiantu: 26,5°
MeteorickĂ˝ roj: SevernĂ­ Tauridy
Elementy dráhy meteoroidu:
Vzdálenost v periheliu: 0,431 AU
Excentricita: 0,823
Sklon dráhy: 4,3°
Délka vzestupného uzlu: 244,3°
Argument perihelia: 284,3°
Střední anomálie: 348,9°
Epocha: 2018 NOV 26 21:10:19
orbit plot

NeinteraktivnĂ­ graf | InteraktivnĂ­ graf

position vs time
speed and acceleration