🇳🇴 🇬🇧 🇩🇪 🇨🇿 🇫🇮

Meteor, poloha: Billingsfors 2018-11-26 21:54:58 UTC

Soubor KML  |  InteraktivnĂ­ mapa

Mapa zobrazuje dráhy meteoru. Světlejší čáry ukazují směry od pozorovacích stanic při objevení se meteoru a tmavší čáry, kde byl naposledy viděn. Modrá šipka značí viditelnou dráhu meteoru.

static map
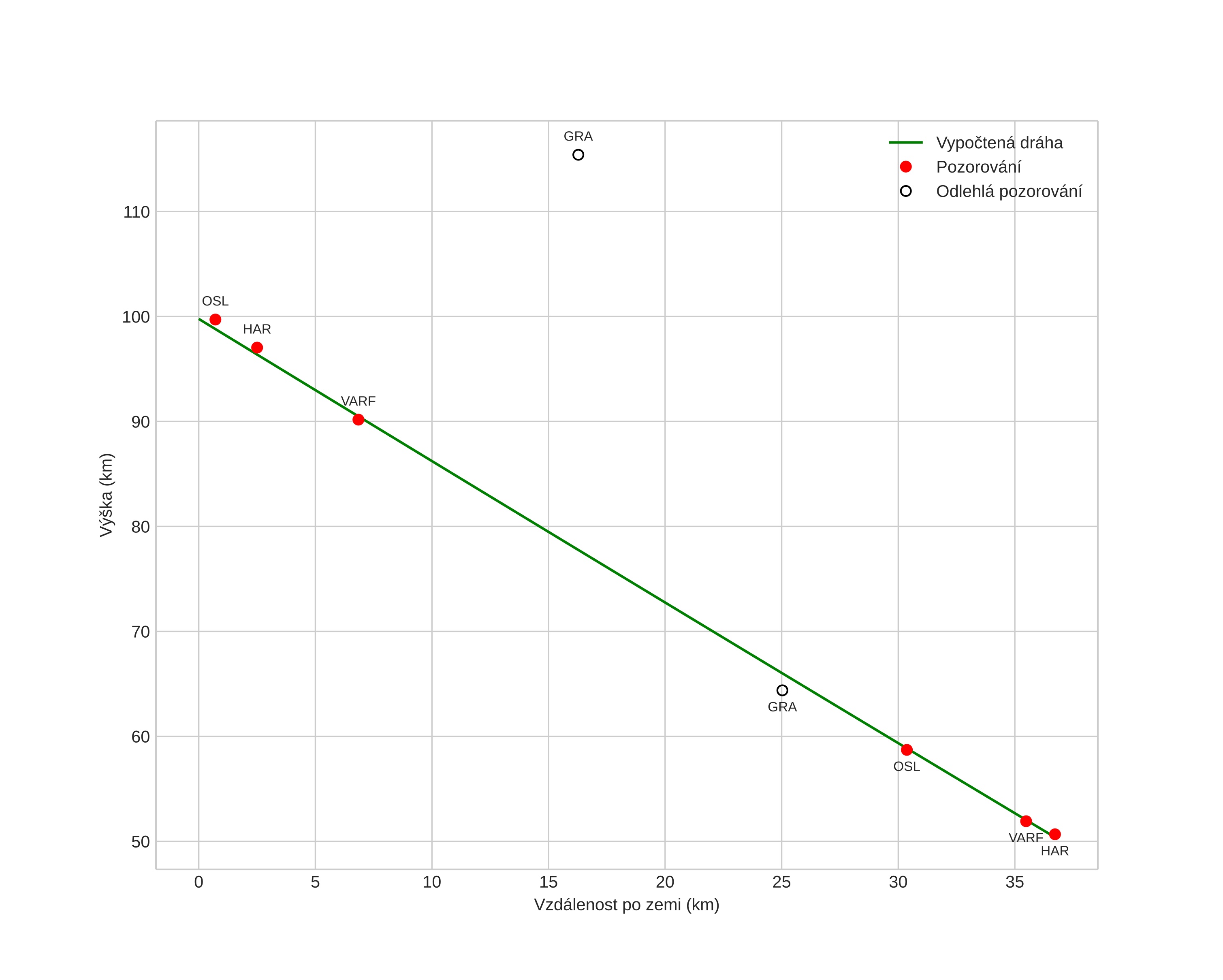
height profile
Atmosférická dráha meteoru:
Počáteční výška: 99,8 km
Konečná výška: 50,6 km
Počáteční poloha: 58,587N 12,507E
Konečná poloha: 58,847N 12,120E
Směr: 322,5°
Sklon: 53,4°
VstupnĂ­ rychlost: 29,3 km/s
Rektascenze radiantu: 04:42 (70,6°)
Deklinace radiantu: 24,6°
MeteorickĂ˝ roj: SevernĂ­ Tauridy
Elementy dráhy meteoroidu:
Vzdálenost v periheliu: 0,420 AU
Excentricita: 0,826
Sklon dráhy: 2,4°
Délka vzestupného uzlu: 244,3°
Argument perihelia: 285,8°
Střední anomálie: 348,7°
Epocha: 2018 NOV 26 21:54:58
orbit plot

NeinteraktivnĂ­ graf | InteraktivnĂ­ graf

position vs time
speed and acceleration