🇳🇴 🇬🇧 🇩🇪 🇨🇿 🇫🇮

Meteor, poloha: Ă…lgĂĄrd 2018-11-26 23:40:56 UTC

Soubor KML  |  InteraktivnĂ­ mapa

Mapa zobrazuje dráhy meteoru. Světlejší čáry ukazují směry od pozorovacích stanic při objevení se meteoru a tmavší čáry, kde byl naposledy viděn. Modrá šipka značí viditelnou dráhu meteoru.

static map
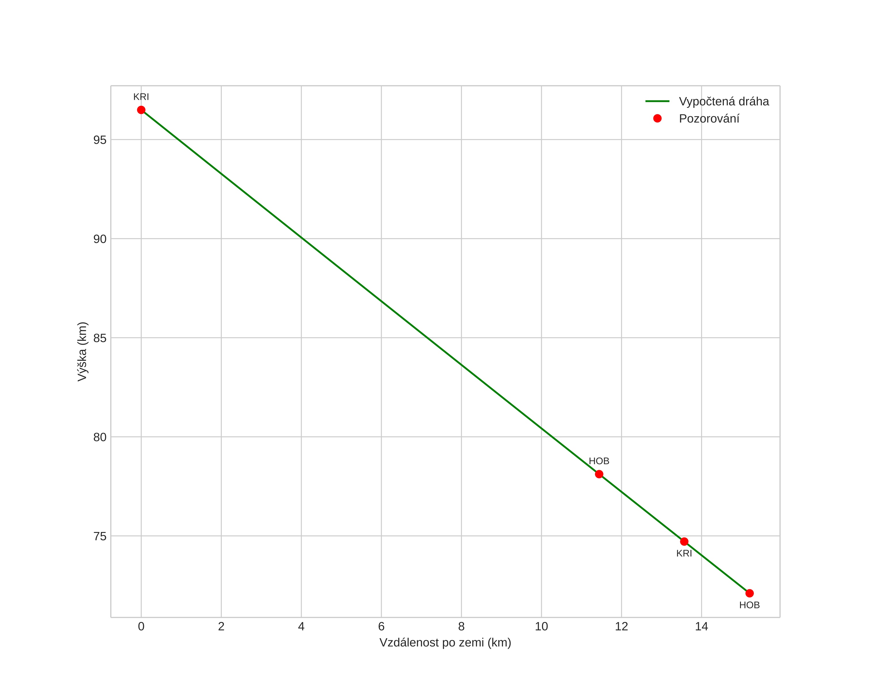
height profile
Atmosférická dráha meteoru:
Počáteční výška: 96,5 km
Konečná výška: 72,1 km
Počáteční poloha: 58,597N 5,598E
Konečná poloha: 58,614N 5,859E
Směr: 82,9°
Sklon: 58,1°
VstupnĂ­ rychlost: 49,3 km/s
Rektascenze radiantu: 01:17 (19,3°)
Deklinace radiantu: 43,0°
MeteorickĂ˝ roj: sporadickĂ˝
Elementy dráhy meteoroidu:
Vzdálenost v periheliu: 0,791 AU
Excentricita: 3,364
Sklon dráhy: 27,1°
Délka vzestupného uzlu: 244,4°
Argument perihelia: 222,0°
Střední anomálie: -85,2°
Epocha: 2018 NOV 26 23:40:56
orbit plot

NeinteraktivnĂ­ graf | InteraktivnĂ­ graf

position vs time
speed and acceleration