🇳🇴 🇬🇧 🇩🇪 🇨🇿 🇫🇮

Meteor, poloha: Sauda 2018-11-27 04:55:23 UTC

Soubor KML  |  InteraktivnĂ­ mapa

Mapa zobrazuje dráhy meteoru. Světlejší čáry ukazují směry od pozorovacích stanic při objevení se meteoru a tmavší čáry, kde byl naposledy viděn. Modrá šipka značí viditelnou dráhu meteoru.

static map
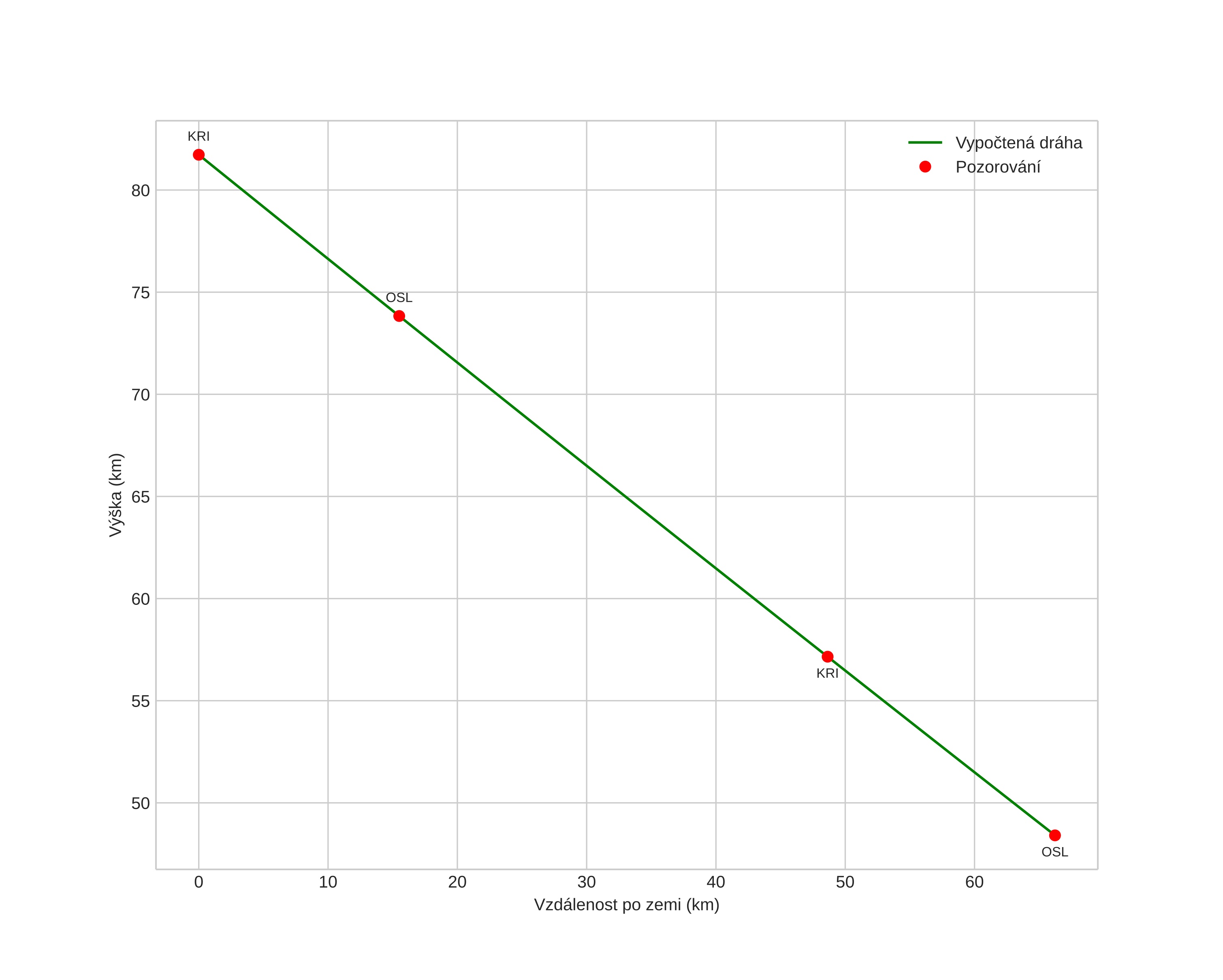
height profile
Atmosférická dráha meteoru:
Počáteční výška: 81,7 km
Konečná výška: 48,4 km
Počáteční poloha: 59,983N 5,192E
Konečná poloha: 59,797N 6,320E
Směr: 107,7°
Sklon: 26,7°
VstupnĂ­ rychlost: 22,9 km/s
Rektascenze radiantu: 03:24 (51,2°)
Deklinace radiantu: 27,3°
MeteorickĂ˝ roj: sporadickĂ˝
Elementy dráhy meteoroidu:
Vzdálenost v periheliu: 0,686 AU
Excentricita: 0,783
Sklon dráhy: 5,1°
Délka vzestupného uzlu: 244,6°
Argument perihelia: 252,2°
Střední anomálie: 352,9°
Epocha: 2018 NOV 27 04:55:23
orbit plot

NeinteraktivnĂ­ graf | InteraktivnĂ­ graf

position vs time
speed and acceleration