🇳🇴 🇬🇧 🇩🇪 🇨🇿 🇫🇮

Meteor, poloha: Hanstholm 2018-12-04 20:56:15 UTC

Soubor KML  |  InteraktivnĂ­ mapa

Mapa zobrazuje dráhy meteoru. Světlejší čáry ukazují směry od pozorovacích stanic při objevení se meteoru a tmavší čáry, kde byl naposledy viděn. Modrá šipka značí viditelnou dráhu meteoru.

static map
height profile
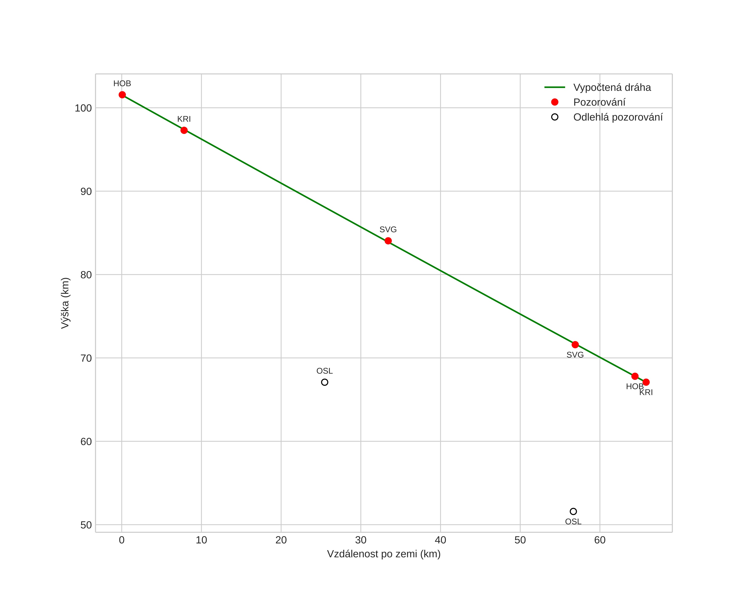
Atmosférická dráha meteoru:
Počáteční výška: 101,5 km
Konečná výška: 67,1 km
Počáteční poloha: 56,580N 9,300E
Konečná poloha: 57,035N 8,609E
Směr: 320,6°
Sklon: 27,6°
VstupnĂ­ rychlost: 29,0 km/s
Rektascenze radiantu: 04:45 (71,4°)
Deklinace radiantu: -2,1°
MeteorickĂ˝ roj: sporadickĂ˝
Elementy dráhy meteoroidu:
Vzdálenost v periheliu: 0,627 AU
Excentricita: 0,933
Sklon dráhy: 19,2°
Délka vzestupného uzlu: 72,4°
Argument perihelia: 75,7°
Střední anomálie: 358,7°
Epocha: 2018 DEC 04 20:56:15
orbit plot

NeinteraktivnĂ­ graf | InteraktivnĂ­ graf

position vs time
speed and acceleration