🇳🇴 🇬🇧 🇩🇪 🇨🇿 🇫🇮

Meteor, poloha: Langesund 2018-12-04 21:16:45 UTC

Soubor KML  |  InteraktivnĂ­ mapa

Mapa zobrazuje dráhy meteoru. Světlejší čáry ukazují směry od pozorovacích stanic při objevení se meteoru a tmavší čáry, kde byl naposledy viděn. Modrá šipka značí viditelnou dráhu meteoru.

static map
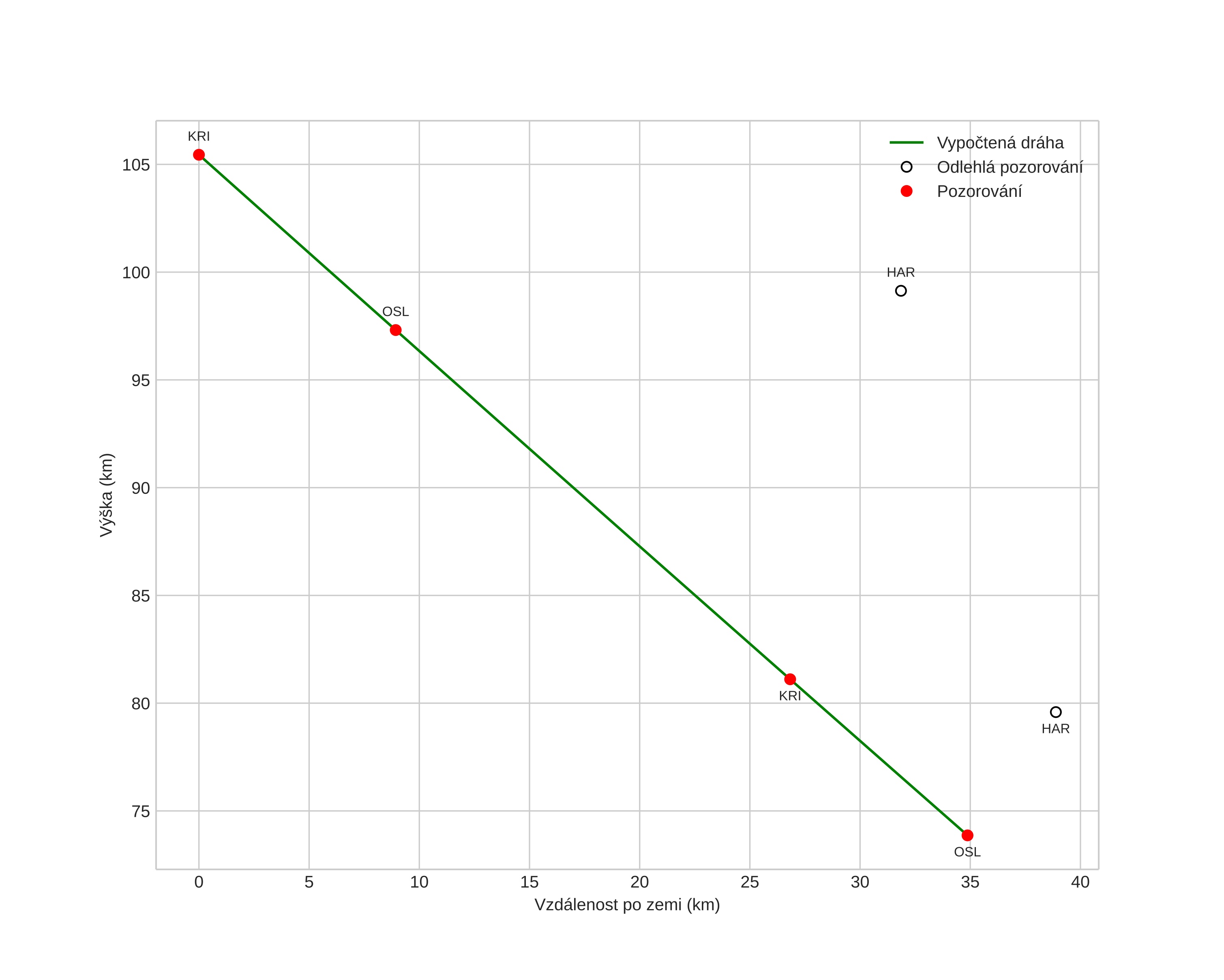
height profile
Atmosférická dráha meteoru:
Počáteční výška: 100,9 km
Konečná výška: 74,1 km
Počáteční poloha: 58,691N 9,927E
Konečná poloha: 58,432N 9,797E
Směr: 194,8°
Sklon: 42,0°
VstupnĂ­ rychlost: 44,1 km/s
Rektascenze radiantu: 12:34 (188,7°)
Deklinace radiantu: 70,5°
MeteorickĂ˝ roj: sporadickĂ˝
Elementy dráhy meteoroidu:
Vzdálenost v periheliu: 0,930 AU
Excentricita: 0,860
Sklon dráhy: 71,6°
Délka vzestupného uzlu: 252,4°
Argument perihelia: 208,6°
Střední anomálie: 358,9°
Epocha: 2018 DEC 04 21:16:45
orbit plot

NeinteraktivnĂ­ graf | InteraktivnĂ­ graf

position vs time
speed and acceleration