🇳🇴 🇬🇧 🇩🇪 🇨🇿 🇫🇮

Meteor Vikersundin yllä 2018-12-05 01:16:41 UTC

KML-tiedosto  |  Interaktiivinen kartta

Kartta näyttää meteorin suuntahavainnot. Vaaleammat viivat näyttävät suunnat havaintoasemilta meteorin ilmestyessä, ja tummemmat viivat näyttävät, missä se viimeksi nähtiin. Sininen nuoli näyttää meteorin näkyvän lennon.

static map
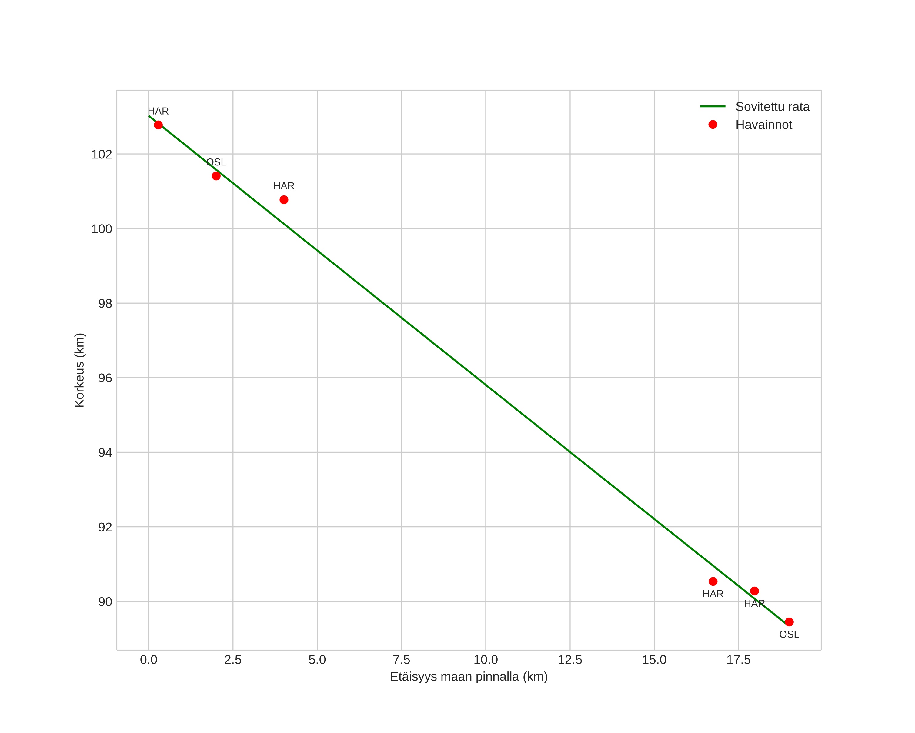
height profile
Meteorin ilmakehärata:
Alkukorkeus: 80,6 km
Loppukorkeus: 58,0 km
Alkupiste: 59,876N 9,746E
Loppupiste: 60,065N 9,881E
Suunta: 19,6°
Kallistuskulma: 45,4°
Tulonopeus: 47,4 km/s
Radiantin R,A,: 05:50 (87,7°)
Radiantin Dekl,: 15,8°
Meteoriparvi: Monoserotidit
Meteoroidin rataelementit:
Perihelietäisyys: 0,191 AU
Eksentrisyys: 1,116
Inklinaatio: 18,7°
Nousevan solmun pituus: 72,6°
Perihelin argumentti: 121,8°
Keskianomalia: -14,1°
Epookki: 2018 DEC 05 01:16:41
orbit plot

Ei-interaktiivinen kuvaaja | Interaktiivinen kuvaaja

position vs time
speed and acceleration