🇳🇴 🇬🇧 🇩🇪 🇨🇿 🇫🇮

Meteor, poloha: Eidfjord 2018-12-11 20:19:33 UTC

Soubor KML  |  InteraktivnĂ­ mapa

Mapa zobrazuje dráhy meteoru. Světlejší čáry ukazují směry od pozorovacích stanic při objevení se meteoru a tmavší čáry, kde byl naposledy viděn. Modrá šipka značí viditelnou dráhu meteoru.

static map
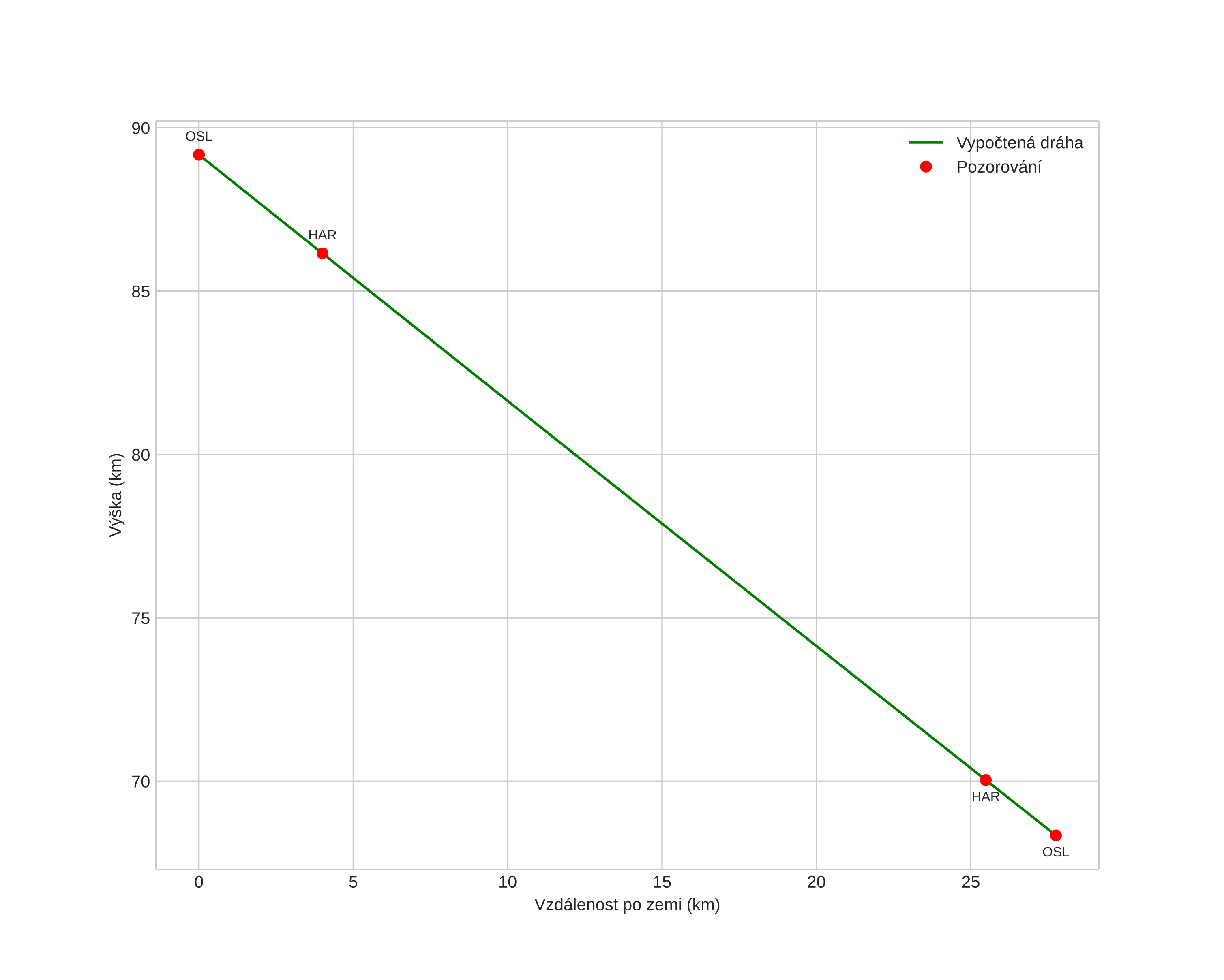
height profile
Atmosférická dráha meteoru:
Počáteční výška: 88,8 km
Konečná výška: 66,4 km
Počáteční poloha: 60,225N 7,409E
Konečná poloha: 60,186N 7,028E
Směr: 258,6°
Sklon: 46,2°
VstupnĂ­ rychlost: 34,2 km/s
Rektascenze radiantu: 06:55 (103,8°)
Deklinace radiantu: 43,2°
MeteorickĂ˝ roj: sporadickĂ˝
Elementy dráhy meteoroidu:
Vzdálenost v periheliu: 0,297 AU
Excentricita: 0,832
Sklon dráhy: 30,0°
Délka vzestupného uzlu: 259,5°
Argument perihelia: 302,5°
Střední anomálie: 342,6°
Epocha: 2018 DEC 11 20:19:33
orbit plot

NeinteraktivnĂ­ graf | InteraktivnĂ­ graf

position vs time
speed and acceleration