🇳🇴 🇬🇧 🇩🇪 🇨🇿 🇫🇮

Meteor, poloha: Geilo 2018-12-11 21:56:13 UTC

Soubor KML  |  InteraktivnĂ­ mapa

Mapa zobrazuje dráhy meteoru. Světlejší čáry ukazují směry od pozorovacích stanic při objevení se meteoru a tmavší čáry, kde byl naposledy viděn. Modrá šipka značí viditelnou dráhu meteoru.

static map
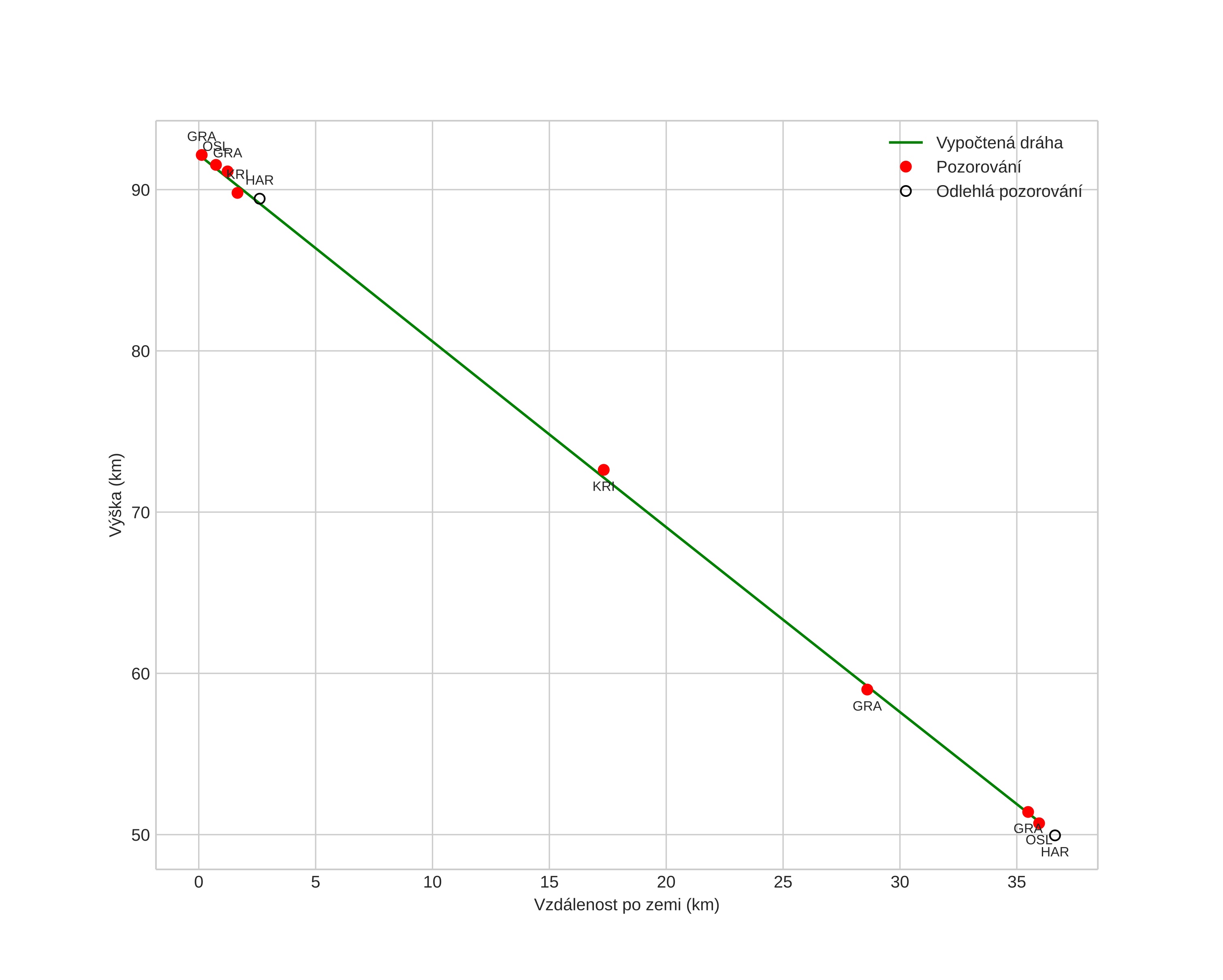
height profile
Atmosférická dráha meteoru:
Počáteční výška: 94,6 km
Konečná výška: 49,4 km
Počáteční poloha: 60,393N 8,910E
Konečná poloha: 60,461N 8,352E
Směr: 284,2°
Sklon: 55,1°
VstupnĂ­ rychlost: 36,0 km/s
Rektascenze radiantu: 06:59 (104,9°)
Deklinace radiantu: 39,4°
MeteorickĂ˝ roj: Geminidy
Elementy dráhy meteoroidu:
Vzdálenost v periheliu: 0,240 AU
Excentricita: 0,874
Sklon dráhy: 28,7°
Délka vzestupného uzlu: 259,5°
Argument perihelia: 308,4°
Střední anomálie: 345,3°
Epocha: 2018 DEC 11 21:56:13
orbit plot

NeinteraktivnĂ­ graf | InteraktivnĂ­ graf

position vs time
speed and acceleration