🇳🇴 🇬🇧 🇩🇪 🇨🇿 🇫🇮

Meteor, poloha: Skjønhaug 2018-12-11 22:32:26 UTC

Soubor KML  |  InteraktivnĂ­ mapa

Mapa zobrazuje dráhy meteoru. Světlejší čáry ukazují směry od pozorovacích stanic při objevení se meteoru a tmavší čáry, kde byl naposledy viděn. Modrá šipka značí viditelnou dráhu meteoru.

static map
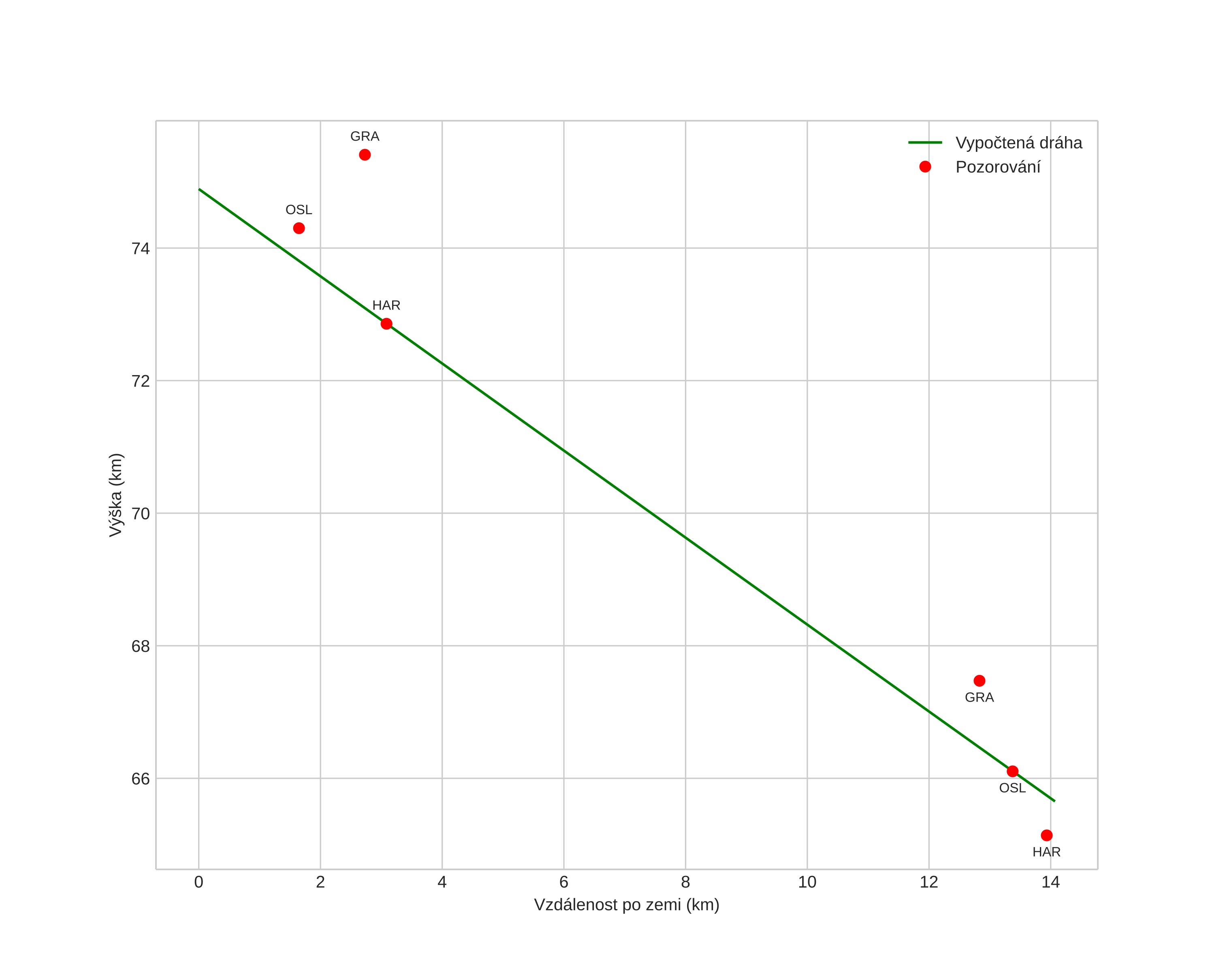
height profile
Atmosférická dráha meteoru:
Počáteční výška: 79,0 km
Konečná výška: 68,3 km
Počáteční poloha: 59,691N 11,171E
Konečná poloha: 59,610N 11,336E
Směr: 134,0°
Sklon: 39,6°
VstupnĂ­ rychlost: 17,8 km/s
Rektascenze radiantu: 21:17 (319,5°)
Deklinace radiantu: 49,2°
MeteorickĂ˝ roj: sporadickĂ˝
Elementy dráhy meteoroidu:
Vzdálenost v periheliu: 0,985 AU
Excentricita: 0,714
Sklon dráhy: 18,0°
Délka vzestupného uzlu: 259,6°
Argument perihelia: 180,9°
Střední anomálie: 359,9°
Epocha: 2018 DEC 11 22:32:26
orbit plot

NeinteraktivnĂ­ graf | InteraktivnĂ­ graf

position vs time
speed and acceleration