🇳🇴 🇬🇧 🇩🇪 🇨🇿 🇫🇮

Meteor, poloha: HjelmelandsvĂĄgen 2018-12-12 00:51:46 UTC

Soubor KML  |  InteraktivnĂ­ mapa

Mapa zobrazuje dráhy meteoru. Světlejší čáry ukazují směry od pozorovacích stanic při objevení se meteoru a tmavší čáry, kde byl naposledy viděn. Modrá šipka značí viditelnou dráhu meteoru.

static map
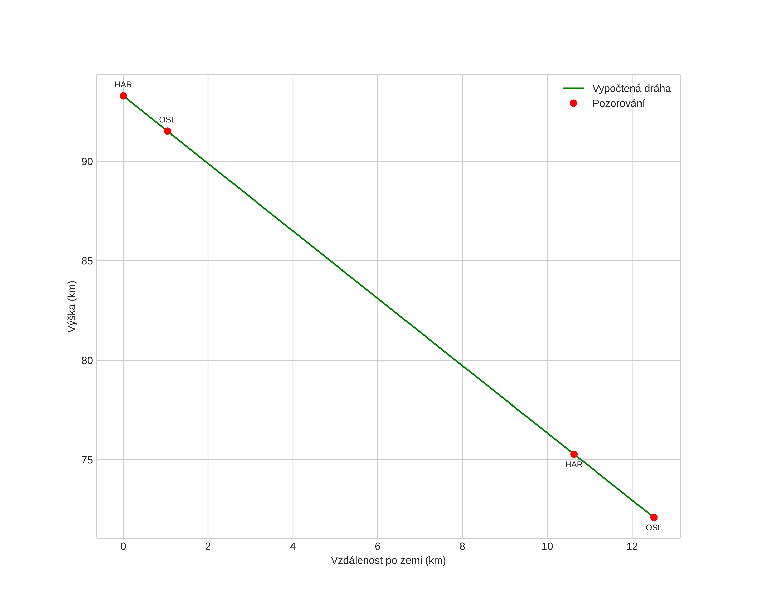
height profile
Atmosférická dráha meteoru:
Počáteční výška: 112,1 km
Konečná výška: 82,8 km
Počáteční poloha: 59,004N 6,479E
Konečná poloha: 59,181N 6,542E
Směr: 10,4°
Sklon: 55,8°
VstupnĂ­ rychlost: 44,8 km/s
Rektascenze radiantu: 06:11 (92,9°)
Deklinace radiantu: 24,4°
MeteorickĂ˝ roj: sporadickĂ˝
Elementy dráhy meteoroidu:
Vzdálenost v periheliu: 0,218 AU
Excentricita: 1,105
Sklon dráhy: 2,1°
Délka vzestupného uzlu: 259,6°
Argument perihelia: 298,9°
Střední anomálie: -10,2°
Epocha: 2018 DEC 12 00:51:46
orbit plot

NeinteraktivnĂ­ graf | InteraktivnĂ­ graf

position vs time
speed and acceleration