🇳🇴 🇬🇧 🇩🇪 🇨🇿 🇫🇮

Meteor, poloha: Valle 2018-12-12 00:51:47 UTC

Soubor KML  |  InteraktivnĂ­ mapa

Mapa zobrazuje dráhy meteoru. Světlejší čáry ukazují směry od pozorovacích stanic při objevení se meteoru a tmavší čáry, kde byl naposledy viděn. Modrá šipka značí viditelnou dráhu meteoru.

static map
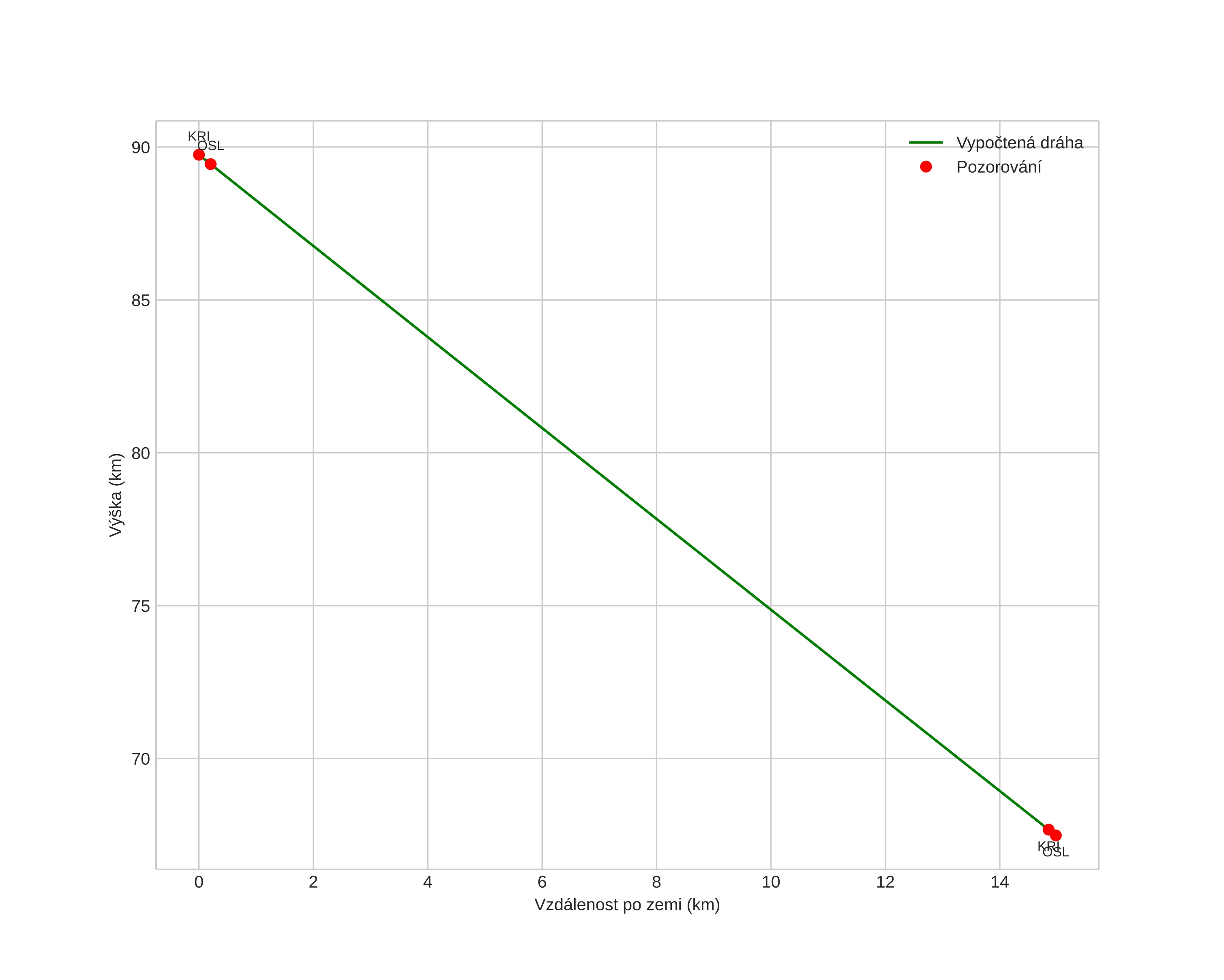
height profile
Atmosférická dráha meteoru:
Počáteční výška: 91,3 km
Konečná výška: 67,7 km
Počáteční poloha: 59,219N 7,352E
Konečná poloha: 59,356N 7,399E
Směr: 9,8°
Sklon: 56,8°
VstupnĂ­ rychlost: 32,6 km/s
Rektascenze radiantu: 06:16 (94,1°)
Deklinace radiantu: 25,1°
MeteorickĂ˝ roj: sporadickĂ˝
Elementy dráhy meteoroidu:
Vzdálenost v periheliu: 0,305 AU
Excentricita: 0,868
Sklon dráhy: 2,3°
Délka vzestupného uzlu: 259,6°
Argument perihelia: 299,1°
Střední anomálie: 348,7°
Epocha: 2018 DEC 12 00:51:47
orbit plot

NeinteraktivnĂ­ graf | InteraktivnĂ­ graf

position vs time
speed and acceleration