🇳🇴 🇬🇧 🇩🇪 🇨🇿 🇫🇮

Meteor, poloha: Vagnhärad 2018-12-12 22:24:26 UTC

Soubor KML  |  InteraktivnĂ­ mapa

Mapa zobrazuje dráhy meteoru. Světlejší čáry ukazují směry od pozorovacích stanic při objevení se meteoru a tmavší čáry, kde byl naposledy viděn. Modrá šipka značí viditelnou dráhu meteoru.

static map
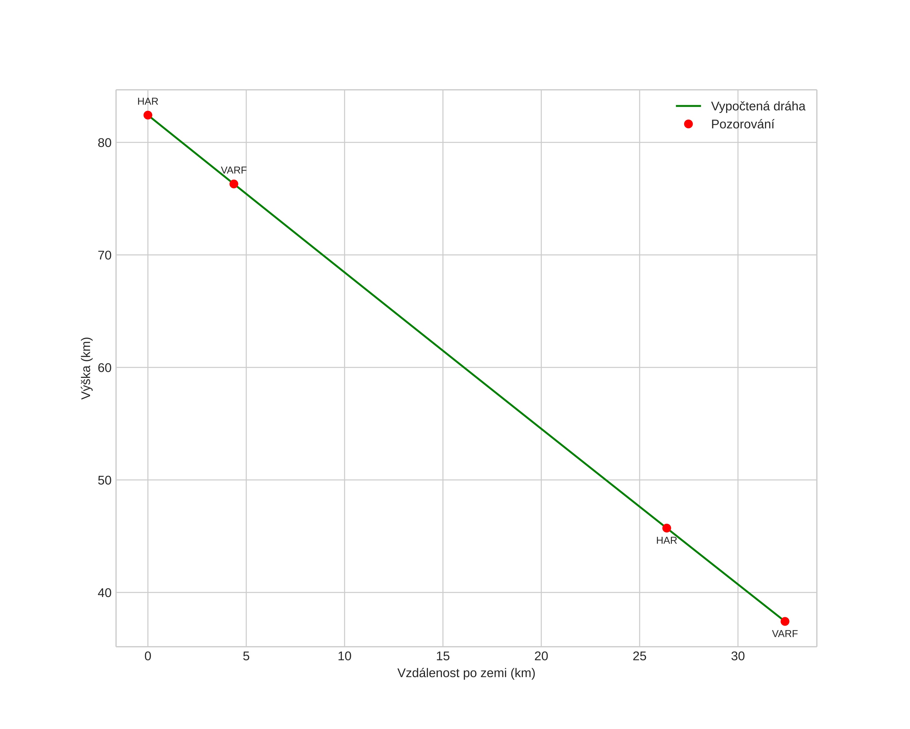
height profile
Atmosférická dráha meteoru:
Počáteční výška: 87,0 km
Konečná výška: 43,6 km
Počáteční poloha: 58,744N 17,858E
Konečná poloha: 58,874N 17,404E
Směr: 299,2°
Sklon: 55,4°
VstupnĂ­ rychlost: 36,1 km/s
Rektascenze radiantu: 07:27 (112,0°)
Deklinace radiantu: 33,4°
MeteorickĂ˝ roj: Geminidy
Elementy dráhy meteoroidu:
Vzdálenost v periheliu: 0,148 AU
Excentricita: 0,891
Sklon dráhy: 25,0°
Délka vzestupného uzlu: 260,6°
Argument perihelia: 323,5°
Střední anomálie: 336,3°
Epocha: 2018 DEC 12 22:24:26
orbit plot

NeinteraktivnĂ­ graf | InteraktivnĂ­ graf

position vs time
speed and acceleration