🇳🇴 🇬🇧 🇩🇪 🇨🇿 🇫🇮

Meteor, poloha: Utsira 2018-12-24 05:13:50 UTC

Soubor KML  |  InteraktivnĂ­ mapa

Mapa zobrazuje dráhy meteoru. Světlejší čáry ukazují směry od pozorovacích stanic při objevení se meteoru a tmavší čáry, kde byl naposledy viděn. Modrá šipka značí viditelnou dráhu meteoru.

static map
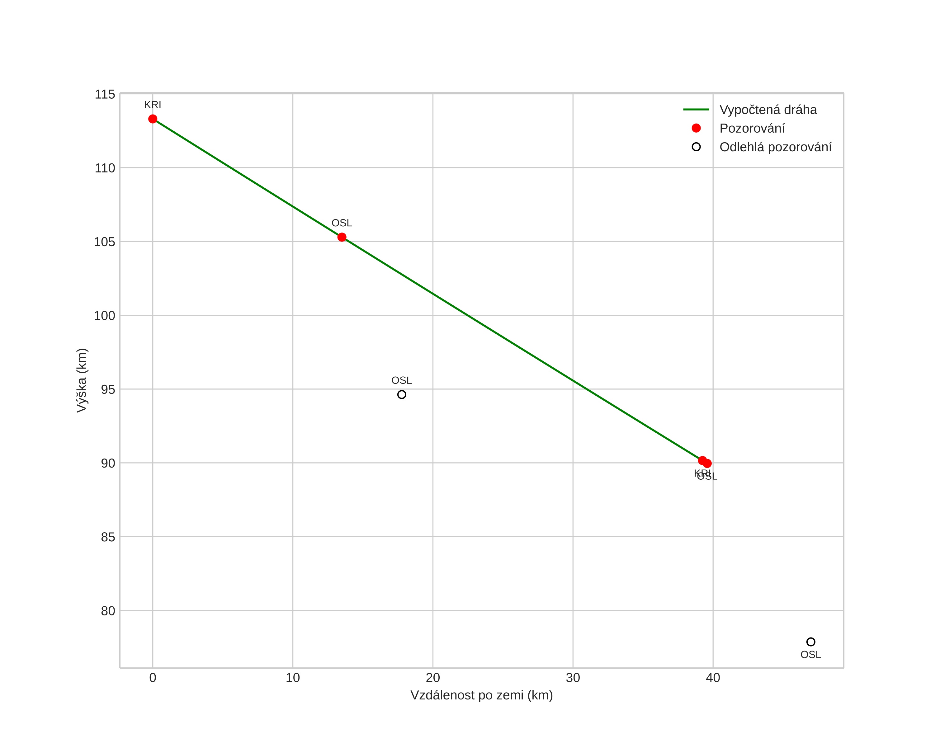
height profile
Atmosférická dráha meteoru:
Počáteční výška: 110,6 km
Konečná výška: 88,3 km
Počáteční poloha: 58,466N 3,725E
Konečná poloha: 58,741N 3,263E
Směr: 319,0°
Sklon: 28,8°
VstupnĂ­ rychlost: 67,1 km/s
Rektascenze radiantu: 13:58 (209,7°)
Deklinace radiantu: 3,3°
MeteorickĂ˝ roj: sporadickĂ˝
Elementy dráhy meteoroidu:
Vzdálenost v periheliu: 0,587 AU
Excentricita: 0,962
Sklon dráhy: 149,5°
Délka vzestupného uzlu: 272,1°
Argument perihelia: 100,2°
Střední anomálie: 0,6°
Epocha: 2018 DEC 24 05:13:50
orbit plot

NeinteraktivnĂ­ graf | InteraktivnĂ­ graf

position vs time
speed and acceleration