🇳🇴 🇬🇧 🇩🇪 🇨🇿 🇫🇮

Meteor über Risør 2019-01-01 22:25:18 UTC

Harestua (HAR) 4
Harestua (HAR) 4
Kristiansand (KRI) 3
Kristiansand (KRI) 3
Voksenlia (VOK) 1
Voksenlia (VOK) 1

KML-Datei  | Interaktive Karte

map

Die Karte zeigt die Peilungen für den Meteor. Die helleren Linien zeigen die Richtungen von den Beobachtungsorten beim Erscheinen des Meteors, und die dunkleren Linien, wo er zuletzt gesehen wurde. Der blaue Pfeil zeigt die sichtbare Bahn des Meteors.

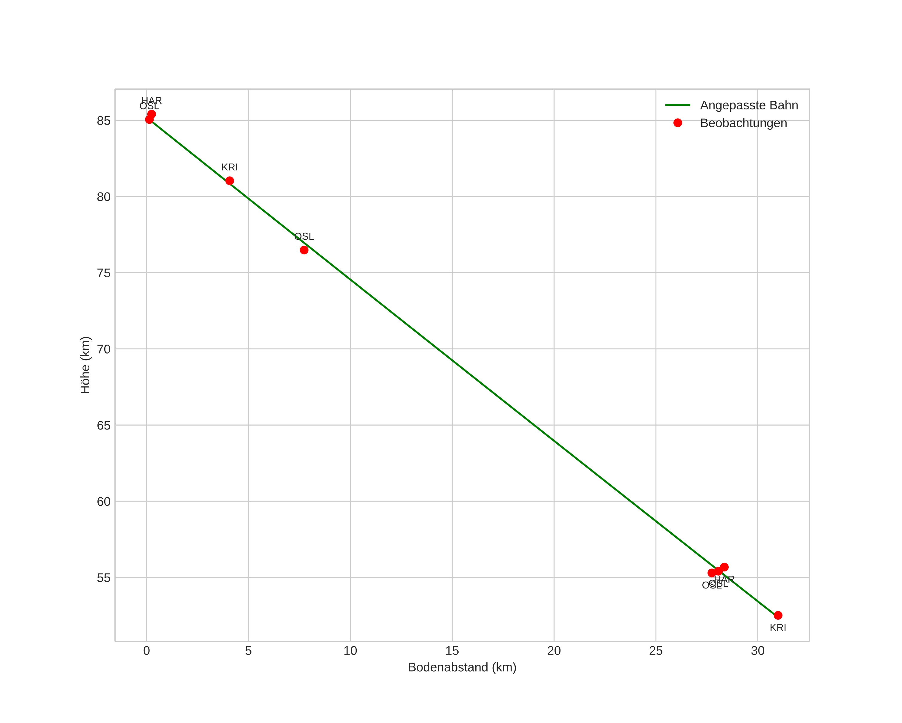
height profile
Atmosphärische Bahn des Meteors:
Anfangshöhe: 85,2 km
Endhöhe: 52,4 km
Startposition: 58,074N 9,764E
Endposition: 58,304N 9,467E
Richtung: 325,8°
Neigungswinkel: 46,7°
Eintrittsgeschwindigkeit: 28,9 km/s
Rektaszension des Radianten: 07:24 (111,1°)
Deklination des Radianten: 16,8°
Meteorstrom: sporadisch
Bahnelemente des Meteoroiden:
Periheldistanz: 0,414 AU
Exzentrizität: 0,796
Inklination: 5,3°
Länge des aufsteigenden Knotens: 101,0°
Argument des Perihels: 107,8°
Mittlere Anomalie: 345,1°
Epoche: 2019 JAN 01 22:25:18
orbit

Nicht-interaktives Diagramm | Interaktives Diagramm

position vs time
speed & acceleration