🇳🇴 🇬🇧 🇩🇪 🇨🇿 🇫🇮

Meteor, poloha: Noresund 2019-01-02 22:07:26 UTC

Gran – 2
Gran – 2
Voksenlia – 3
Voksenlia – 3

Soubor KML  | Interaktivní mapa

map

Mapa zobrazuje dráhy meteoru. Světlejší čáry ukazují směry od pozorovacích stanic při objevení se meteoru a tmavší čáry, kde byl naposledy viděn. Modrá šipka značí viditelnou dráhu meteoru.

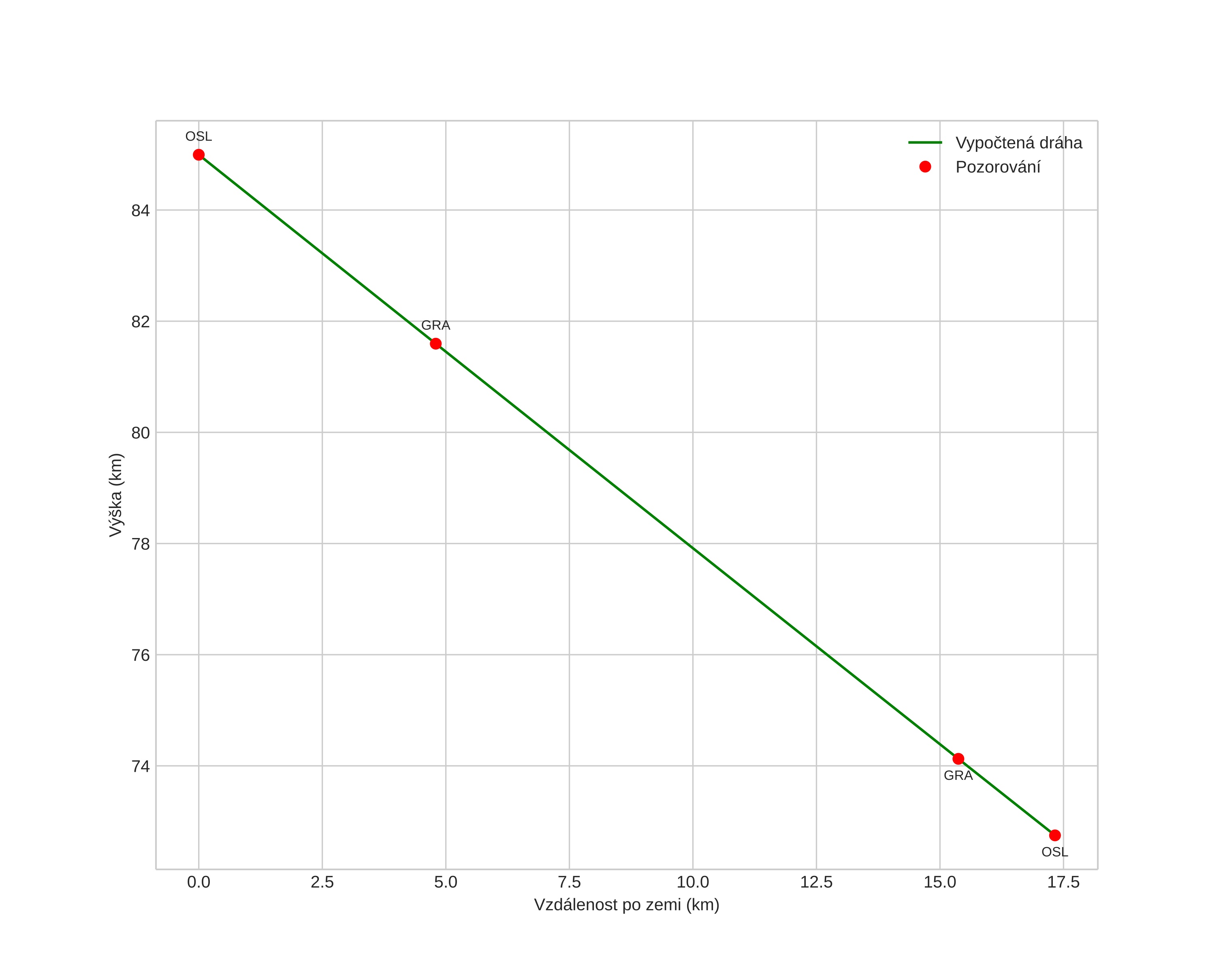
height profile
Atmosférická dráha meteoru:
Počáteční výška: 80,8 km
Konečná výška: 70,9 km
Počáteční poloha: 60,537N 9,633E
Konečná poloha: 60,400N 9,697E
Směr: 167,1°
Sklon: 32,3°
Vstupní rychlost: 19,8 km/s
Rektascenze radiantu: 19:00 (285,1°)
Deklinace radiantu: 54,5°
Meteorický roj: sporadický
Elementy dráhy meteoroidu:
Vzdálenost v periheliu: 0,968 AU
Excentricita: 0,446
Sklon dráhy: 26,4°
Délka vzestupného uzlu: 282,0°
Argument perihelia: 161,4°
Střední anomálie: 6,4°
Epocha: 2019 JAN 02 22:07:26
orbit

Neinteraktivní graf | Interaktivní graf

position vs time
speed & acceleration