🇳🇴 🇬🇧 🇩🇪 🇨🇿 🇫🇮

Meteor, poloha: Valle 2019-01-05 22:59:26 UTC

Soubor KML  |  InteraktivnĂ­ mapa

Mapa zobrazuje dráhy meteoru. Světlejší čáry ukazují směry od pozorovacích stanic při objevení se meteoru a tmavší čáry, kde byl naposledy viděn. Modrá šipka značí viditelnou dráhu meteoru.

static map
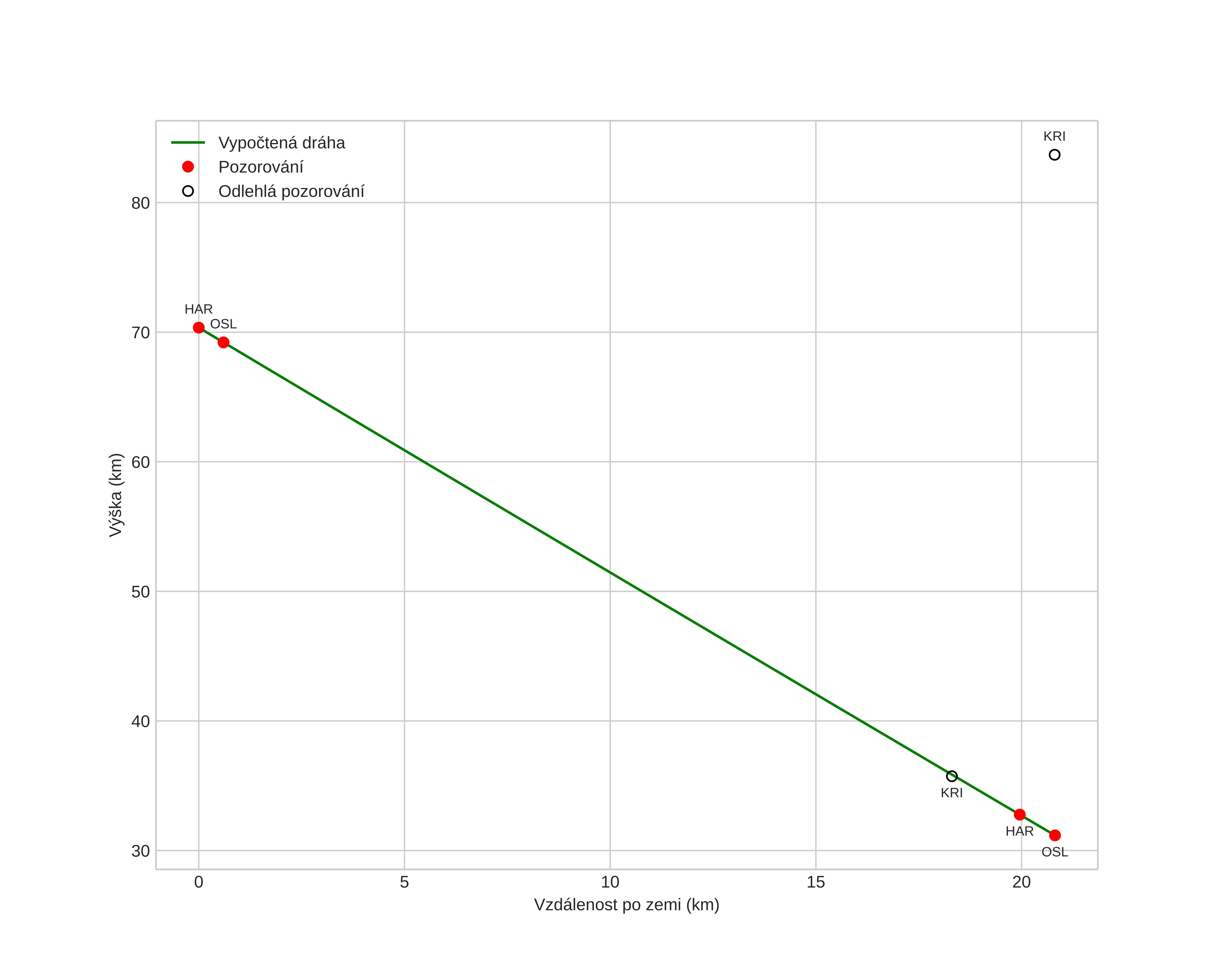
height profile
Atmosférická dráha meteoru:
Počáteční výška: 78,2 km
Konečná výška: 32,7 km
Počáteční poloha: 58,767N 7,382E
Konečná poloha: 58,966N 7,421E
Směr: 5,8°
Sklon: 63,9°
VstupnĂ­ rychlost: 21,0 km/s
Rektascenze radiantu: 06:12 (93,1°)
Deklinace radiantu: 30,5°
MeteorickĂ˝ roj: sporadickĂ˝
Elementy dráhy meteoroidu:
Vzdálenost v periheliu: 0,741 AU
Excentricita: 0,716
Sklon dráhy: 3,7°
Délka vzestupného uzlu: 285,0°
Argument perihelia: 245,9°
Střední anomálie: 350,7°
Epocha: 2019 JAN 05 22:59:26
orbit plot

NeinteraktivnĂ­ graf | InteraktivnĂ­ graf

position vs time
speed and acceleration