🇳🇴 🇬🇧 🇩🇪 🇨🇿 🇫🇮

Meteor, poloha: Arvika 2019-01-06 02:07:15 UTC

Soubor KML  |  InteraktivnĂ­ mapa

Mapa zobrazuje dráhy meteoru. Světlejší čáry ukazují směry od pozorovacích stanic při objevení se meteoru a tmavší čáry, kde byl naposledy viděn. Modrá šipka značí viditelnou dráhu meteoru.

static map
height profile
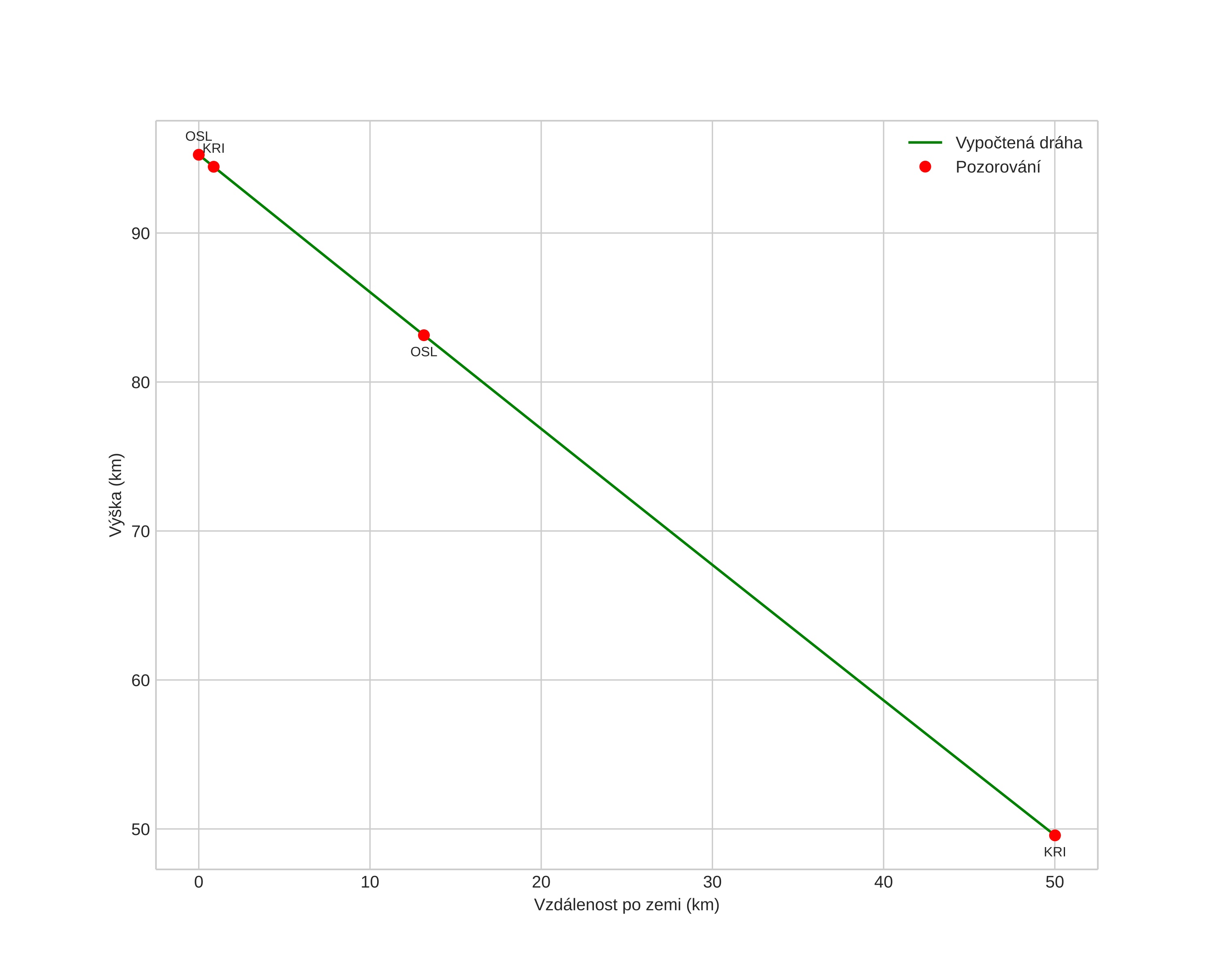
Atmosférická dráha meteoru:
Počáteční výška: 95,2 km
Konečná výška: 49,7 km
Počáteční poloha: 58,972N 12,068E
Konečná poloha: 59,374N 12,451E
Směr: 25,9°
Sklon: 42,4°
VstupnĂ­ rychlost: 38,1 km/s
Rektascenze radiantu: 08:35 (129,0°)
Deklinace radiantu: 12,5°
MeteorickĂ˝ roj: sporadickĂ˝
Elementy dráhy meteoroidu:
Vzdálenost v periheliu: 0,155 AU
Excentricita: 0,928
Sklon dráhy: 13,1°
Délka vzestupného uzlu: 105,2°
Argument perihelia: 138,6°
Střední anomálie: 348,9°
Epocha: 2019 JAN 06 02:07:15
orbit plot

NeinteraktivnĂ­ graf | InteraktivnĂ­ graf

position vs time
speed and acceleration