🇳🇴 🇬🇧 🇩🇪 🇨🇿 🇫🇮

Meteor, poloha: Høyanger 2019-01-16 19:43:52 UTC

Soubor KML  |  InteraktivnĂ­ mapa

Mapa zobrazuje dráhy meteoru. Světlejší čáry ukazují směry od pozorovacích stanic při objevení se meteoru a tmavší čáry, kde byl naposledy viděn. Modrá šipka značí viditelnou dráhu meteoru.

static map
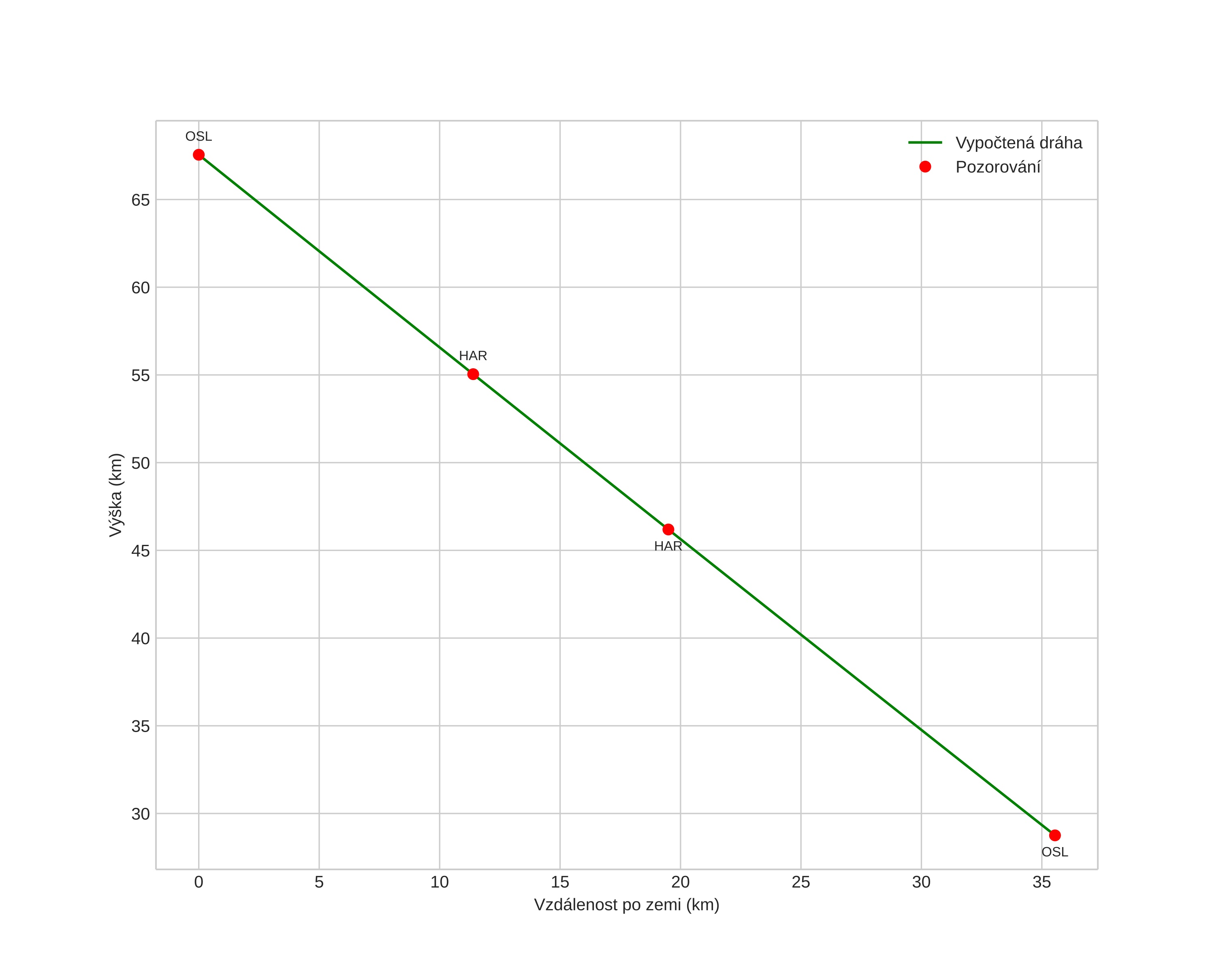
height profile
Atmosférická dráha meteoru:
Počáteční výška: 65,8 km
Konečná výška: 29,9 km
Počáteční poloha: 61,116N 6,678E
Konečná poloha: 61,360N 6,176E
Směr: 315,5°
Sklon: 43,3°
VstupnĂ­ rychlost: 16,1 km/s
Rektascenze radiantu: 06:13 (93,4°)
Deklinace radiantu: 13,0°
MeteorickĂ˝ roj: sporadickĂ˝
Elementy dráhy meteoroidu:
Vzdálenost v periheliu: 0,864 AU
Excentricita: 0,519
Sklon dráhy: 3,4°
Délka vzestupného uzlu: 116,2°
Argument perihelia: 49,8°
Střední anomálie: 345,3°
Epocha: 2019 JAN 16 19:43:52
orbit plot

NeinteraktivnĂ­ graf | InteraktivnĂ­ graf

position vs time
speed and acceleration