🇳🇴 🇬🇧 🇩🇪 🇨🇿 🇫🇮

Meteor, poloha: Malmberget 2019-01-20 02:03:26 UTC

Soubor KML  |  InteraktivnĂ­ mapa

Mapa zobrazuje dráhy meteoru. Světlejší čáry ukazují směry od pozorovacích stanic při objevení se meteoru a tmavší čáry, kde byl naposledy viděn. Modrá šipka značí viditelnou dráhu meteoru.

static map
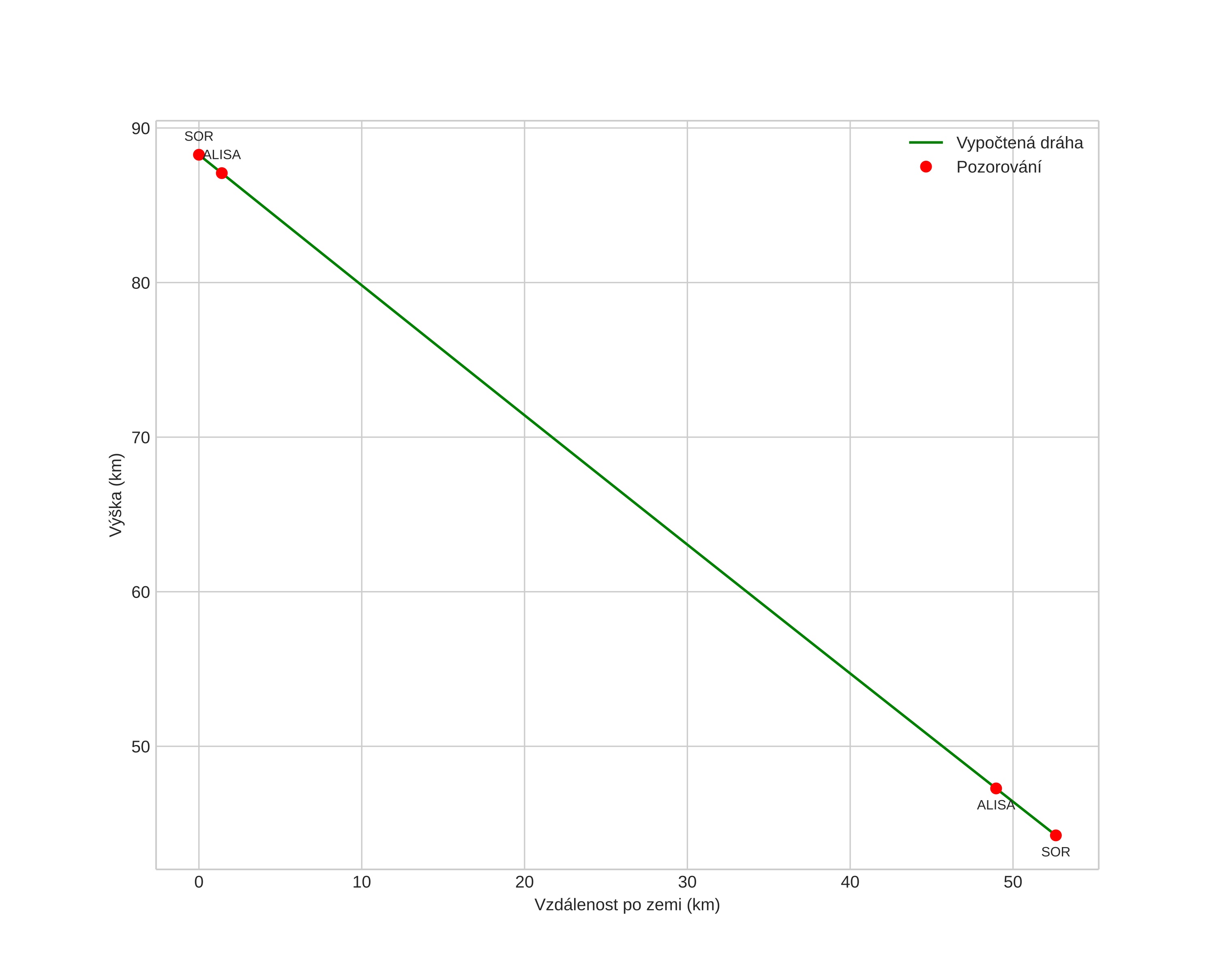
height profile
Atmosférická dráha meteoru:
Počáteční výška: 86,7 km
Konečná výška: 44,1 km
Počáteční poloha: 67,228N 20,429E
Konečná poloha: 67,583N 21,207E
Směr: 39,7°
Sklon: 39,6°
VstupnĂ­ rychlost: 30,7 km/s
Rektascenze radiantu: 09:09 (137,5°)
Deklinace radiantu: 19,1°
MeteorickĂ˝ roj: sporadickĂ˝
Elementy dráhy meteoroidu:
Vzdálenost v periheliu: 0,317 AU
Excentricita: 0,817
Sklon dráhy: 3,3°
Délka vzestupného uzlu: 299,4°
Argument perihelia: 300,5°
Střední anomálie: 341,7°
Epocha: 2019 JAN 20 02:03:26
orbit plot

NeinteraktivnĂ­ graf | InteraktivnĂ­ graf

position vs time
speed and acceleration