🇳🇴 🇬🇧 🇩🇪 🇨🇿 🇫🇮

Meteor, poloha: Bogen 2019-01-21 19:19:20 UTC

Soubor KML  |  InteraktivnĂ­ mapa

Mapa zobrazuje dráhy meteoru. Světlejší čáry ukazují směry od pozorovacích stanic při objevení se meteoru a tmavší čáry, kde byl naposledy viděn. Modrá šipka značí viditelnou dráhu meteoru.

static map
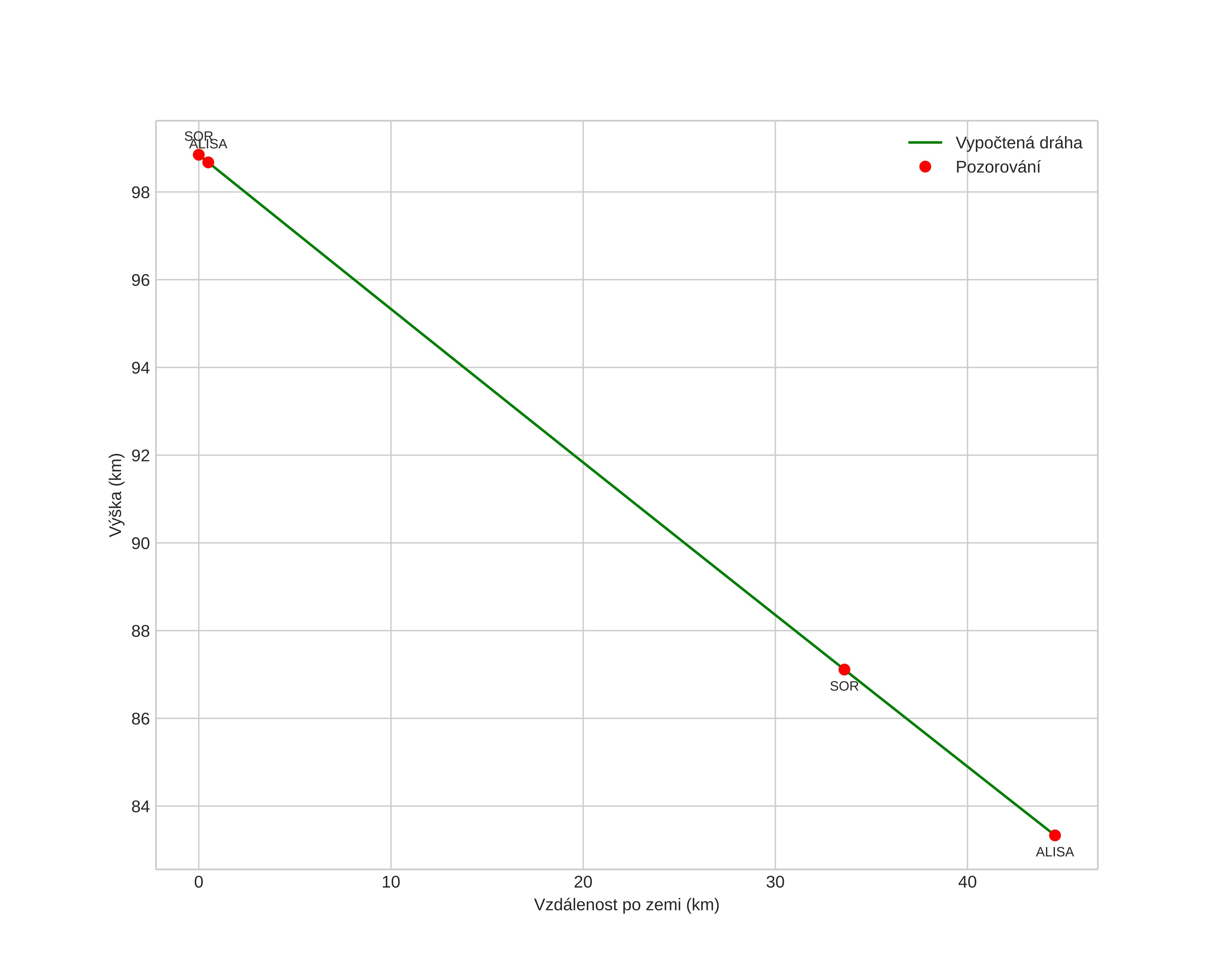
height profile
Atmosférická dráha meteoru:
Počáteční výška: 98,2 km
Konečná výška: 81,4 km
Počáteční poloha: 68,413N 16,633E
Konečná poloha: 68,017N 16,762E
Směr: 173,0°
Sklon: 20,8°
VstupnĂ­ rychlost: 47,5 km/s
Rektascenze radiantu: 17:04 (256,1°)
Deklinace radiantu: 41,1°
MeteorickĂ˝ roj: sporadickĂ˝
Elementy dráhy meteoroidu:
Vzdálenost v periheliu: 0,920 AU
Excentricita: 1,234
Sklon dráhy: 72,2°
Délka vzestupného uzlu: 301,2°
Argument perihelia: 152,0°
Střední anomálie: 2,2°
Epocha: 2019 JAN 21 19:19:20
orbit plot

NeinteraktivnĂ­ graf | InteraktivnĂ­ graf

position vs time
speed and acceleration