🇳🇴 🇬🇧 🇩🇪 🇨🇿 🇫🇮

Meteor, poloha: Straumen 2019-01-26 03:02:27 UTC

Soubor KML  |  InteraktivnĂ­ mapa

Mapa zobrazuje dráhy meteoru. Světlejší čáry ukazují směry od pozorovacích stanic při objevení se meteoru a tmavší čáry, kde byl naposledy viděn. Modrá šipka značí viditelnou dráhu meteoru.

static map
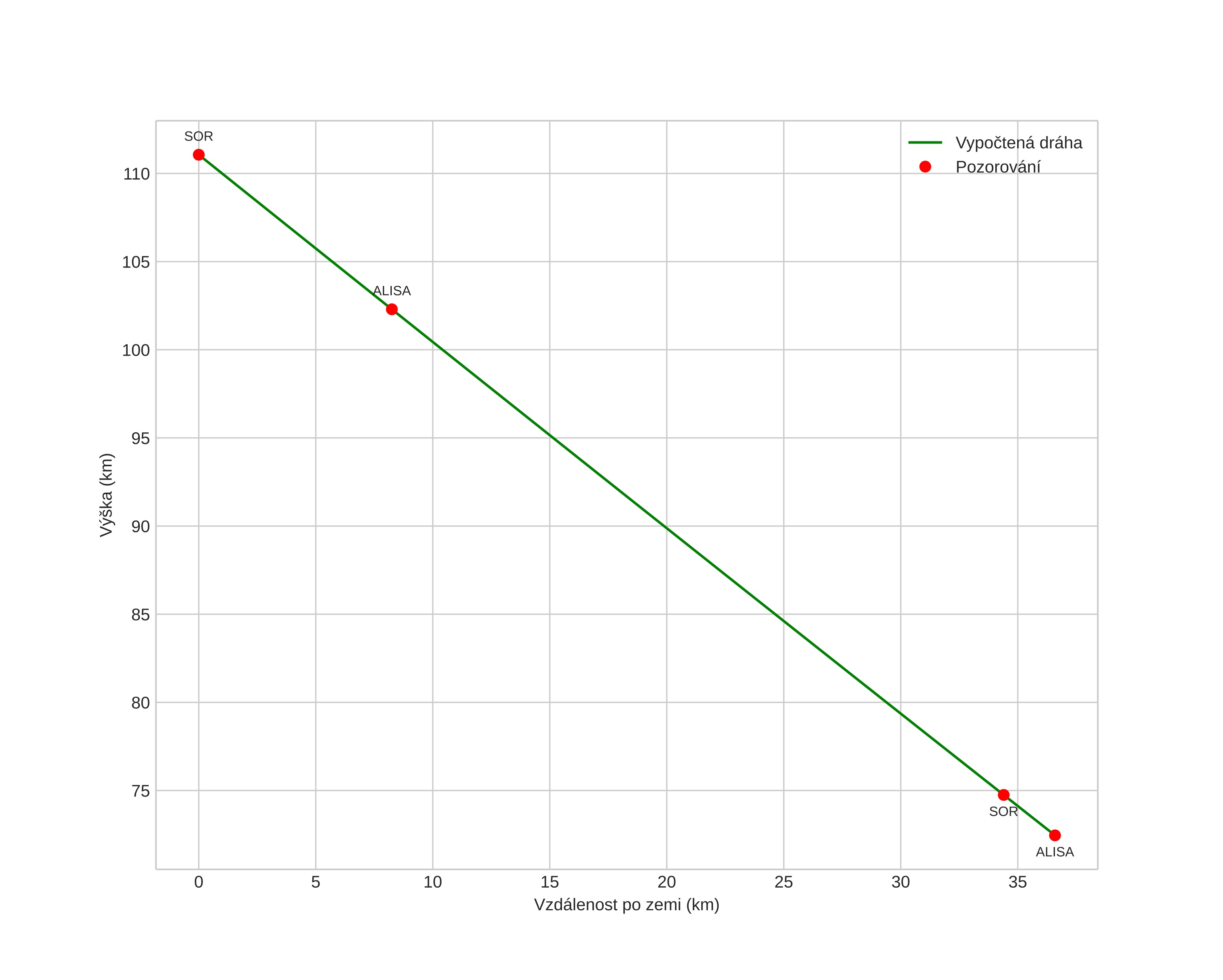
height profile
Atmosférická dráha meteoru:
Počáteční výška: 111,1 km
Konečná výška: 72,5 km
Počáteční poloha: 67,263N 16,715E
Konečná poloha: 67,581N 16,494E
Směr: 345,1°
Sklon: 46,5°
VstupnĂ­ rychlost: 66,3 km/s
Rektascenze radiantu: 13:12 (198,2°)
Deklinace radiantu: 24,1°
MeteorickĂ˝ roj: sporadickĂ˝
Elementy dráhy meteoroidu:
Vzdálenost v periheliu: 0,673 AU
Excentricita: 1,266
Sklon dráhy: 121,6°
Délka vzestupného uzlu: 305,6°
Argument perihelia: 244,3°
Střední anomálie: -7,7°
Epocha: 2019 JAN 26 03:02:27
orbit plot

NeinteraktivnĂ­ graf | InteraktivnĂ­ graf

position vs time
speed and acceleration