🇳🇴 🇬🇧 🇩🇪 🇨🇿 🇫🇮

Meteor, poloha: Gjøvik 2019-01-30 00:27:41 UTC

Soubor KML  |  InteraktivnĂ­ mapa

Mapa zobrazuje dráhy meteoru. Světlejší čáry ukazují směry od pozorovacích stanic při objevení se meteoru a tmavší čáry, kde byl naposledy viděn. Modrá šipka značí viditelnou dráhu meteoru.

static map
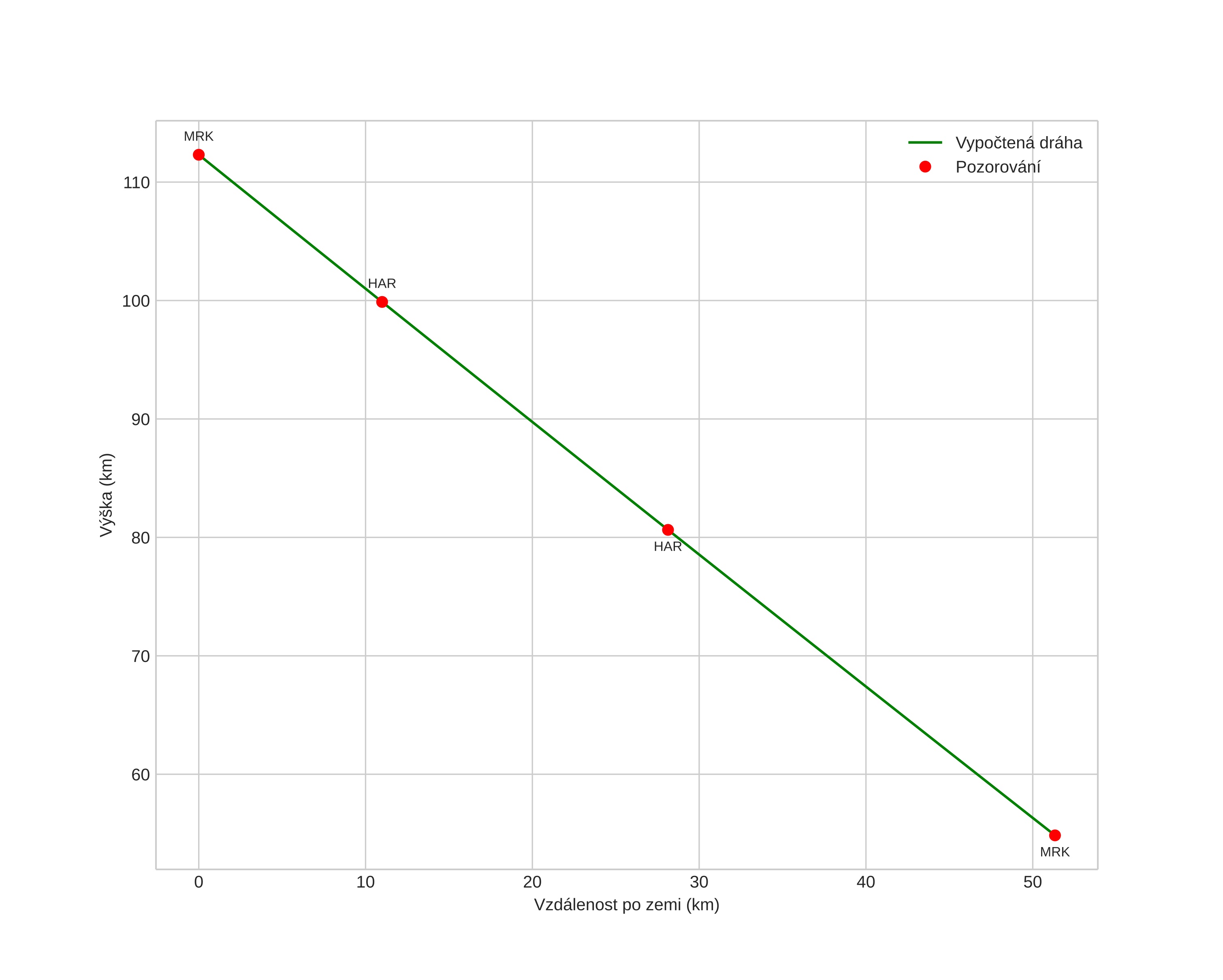
height profile
Atmosférická dráha meteoru:
Počáteční výška: 111,7 km
Konečná výška: 54,8 km
Počáteční poloha: 60,905N 11,707E
Konečná poloha: 60,832N 10,766E
Směr: 261,4°
Sklon: 47,8°
VstupnĂ­ rychlost: 55,1 km/s
Rektascenze radiantu: 14:20 (215,2°)
Deklinace radiantu: 44,0°
MeteorickĂ˝ roj: sporadickĂ˝
Elementy dráhy meteoroidu:
Vzdálenost v periheliu: 0,885 AU
Excentricita: 1,310
Sklon dráhy: 87,0°
Délka vzestupného uzlu: 309,5°
Argument perihelia: 214,8°
Střední anomálie: -4,2°
Epocha: 2019 JAN 30 00:27:41
orbit plot

NeinteraktivnĂ­ graf | InteraktivnĂ­ graf

position vs time
speed and acceleration