🇳🇴 🇬🇧 🇩🇪 🇨🇿

Meteor, poloha: Arjeplog 2019-02-09 17:33:22 UTC

Mapa zobrazuje dráhy meteoru. Světlejší čáry ukazují směry od pozorovacích stanic při objevení se meteoru a tmavší čáry, kde byl naposledy viděn. Modrá šipka značí viditelnou dráhu meteoru.

map

NeinteraktivnĂ­ mapa | Soubor KML

height profile
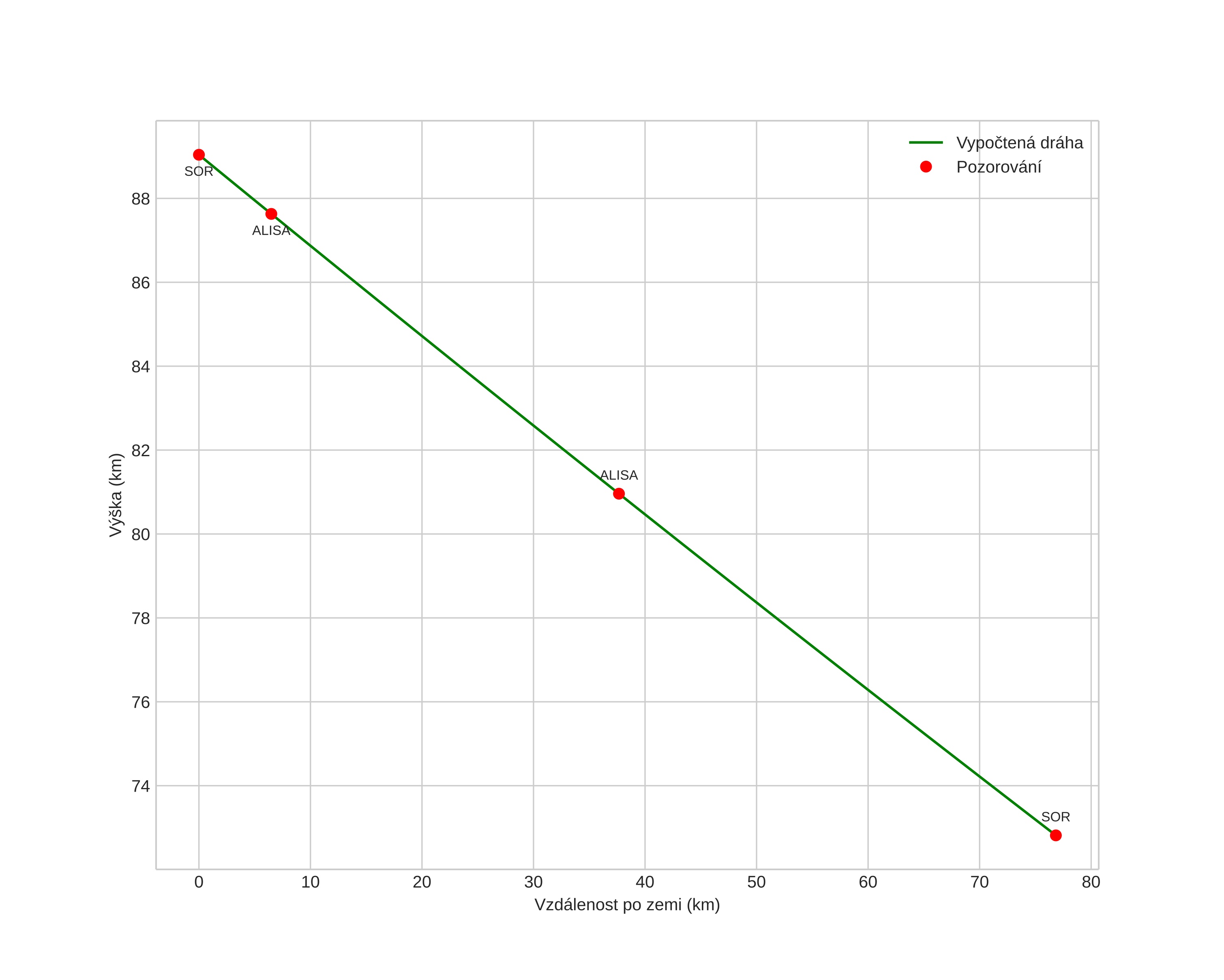
Atmosférická dráha meteoru:
Počáteční výška: 72,8 km
Konečná výška: 89,0 km
Počáteční poloha: 67,644N 18,022E
Konečná poloha: 66,956N 18,172E
Směr: 175,1°
Sklon: -11,9°
VstupnĂ­ rychlost: 115,8 km/s
Rektascenze radiantu: 16:21 (245,5°)
Deklinace radiantu: 10,1°
MeteorickĂ˝ roj: sporadickĂ˝
Elementy dráhy meteoroidu:
Vzdálenost v periheliu: 0,962 AU
Excentricita: 8,120
Sklon dráhy: 138,2°
Délka vzestupného uzlu: 320,4°
Argument perihelia: 166,3°
Střední anomálie: 87,4°
Epocha: 2019 FEB 09 17:33:22
orbit plot

NeinteraktivnĂ­ graf

position vs time
speed and acceleration