🇳🇴 🇬🇧 🇩🇪 🇨🇿 🇫🇮

Meteor, poloha: Geilo 2019-03-02 00:53:04 UTC

Soubor KML  |  InteraktivnĂ­ mapa

Mapa zobrazuje dráhy meteoru. Světlejší čáry ukazují směry od pozorovacích stanic při objevení se meteoru a tmavší čáry, kde byl naposledy viděn. Modrá šipka značí viditelnou dráhu meteoru.

static map
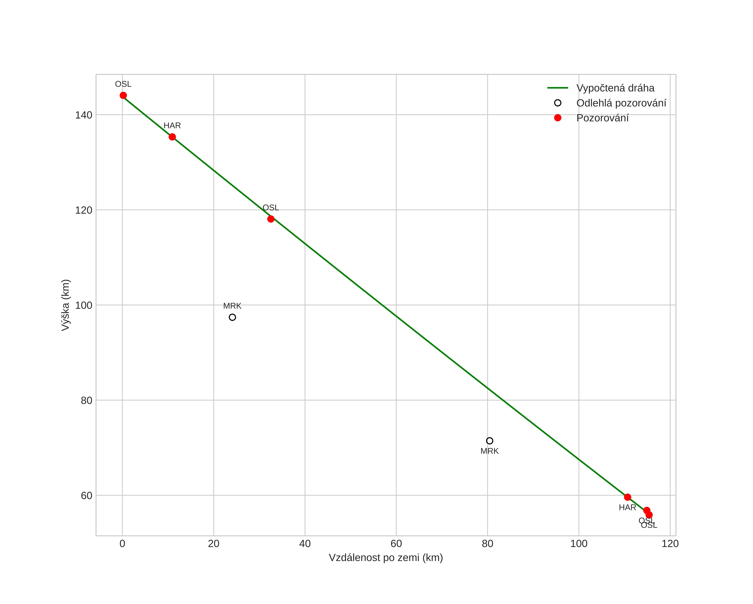
height profile
Atmosférická dráha meteoru:
Počáteční výška: 132,7 km
Konečná výška: 53,7 km
Počáteční poloha: 59,468N 7,788E
Konečná poloha: 60,385N 8,333E
Směr: 16,3°
Sklon: 36,6°
VstupnĂ­ rychlost: 73,0 km/s
Rektascenze radiantu: 11:07 (166,9°)
Deklinace radiantu: 6,7°
MeteorickĂ˝ roj: sporadickĂ˝
Elementy dráhy meteoroidu:
Vzdálenost v periheliu: 0,223 AU
Excentricita: 1,986
Sklon dráhy: 3,1°
Délka vzestupného uzlu: 340,9°
Argument perihelia: 279,6°
Střední anomálie: -192,2°
Epocha: 2019 MAR 02 00:53:04
orbit plot

NeinteraktivnĂ­ graf | InteraktivnĂ­ graf

position vs time
speed and acceleration