🇳🇴 🇬🇧 🇩🇪 🇨🇿 🇫🇮

Meteor, poloha: Eidfjord 2019-03-10 01:53:59 UTC

Soubor KML  |  InteraktivnĂ­ mapa

Mapa zobrazuje dráhy meteoru. Světlejší čáry ukazují směry od pozorovacích stanic při objevení se meteoru a tmavší čáry, kde byl naposledy viděn. Modrá šipka značí viditelnou dráhu meteoru.

static map
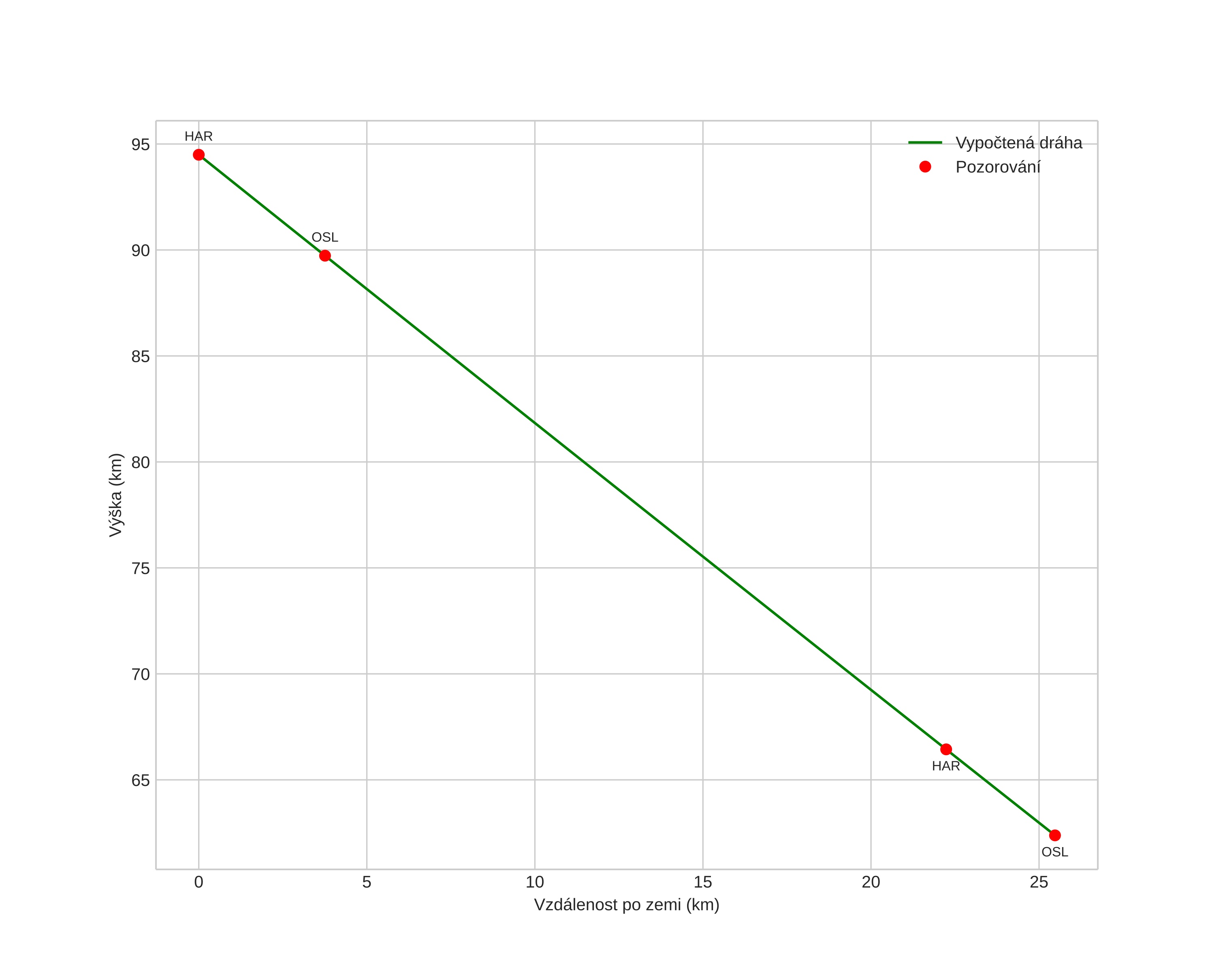
height profile
Atmosférická dráha meteoru:
Počáteční výška: 97,5 km
Konečná výška: 66,5 km
Počáteční poloha: 60,193N 7,474E
Konečná poloha: 60,063N 7,128E
Směr: 233,0°
Sklon: 52,2°
VstupnĂ­ rychlost: 33,6 km/s
Rektascenze radiantu: 19:05 (286,3°)
Deklinace radiantu: 60,0°
MeteorickĂ˝ roj: sporadickĂ˝
Elementy dráhy meteoroidu:
Vzdálenost v periheliu: 0,977 AU
Excentricita: 0,985
Sklon dráhy: 48,2°
Délka vzestupného uzlu: 348,9°
Argument perihelia: 165,2°
Střední anomálie: 0,0°
Epocha: 2019 MAR 10 01:53:59
orbit plot

NeinteraktivnĂ­ graf | InteraktivnĂ­ graf

position vs time
speed and acceleration