🇳🇴 🇬🇧 🇩🇪 🇨🇿 🇫🇮

Meteor, poloha: Utsira 2019-03-12 01:16:41 UTC

Soubor KML  |  InteraktivnĂ­ mapa

Mapa zobrazuje dráhy meteoru. Světlejší čáry ukazují směry od pozorovacích stanic při objevení se meteoru a tmavší čáry, kde byl naposledy viděn. Modrá šipka značí viditelnou dráhu meteoru.

static map
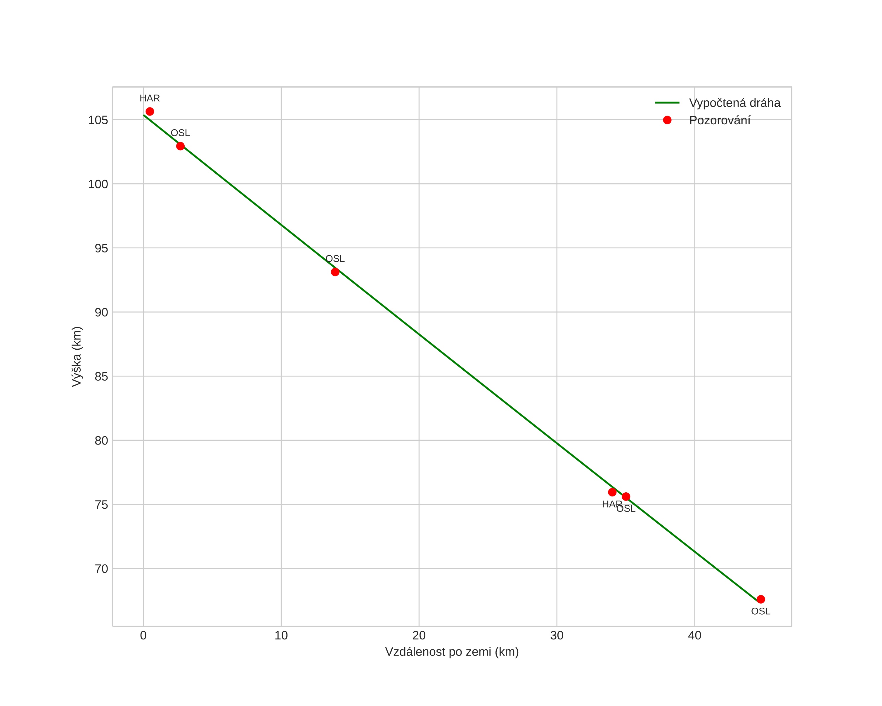
height profile
Atmosférická dráha meteoru:
Počáteční výška: 77,0 km
Konečná výška: 53,7 km
Počáteční poloha: 58,344N 3,264E
Konečná poloha: 58,284N 2,406E
Směr: 262,8°
Sklon: 24,8°
VstupnĂ­ rychlost: 56,5 km/s
Rektascenze radiantu: 18:16 (274,2°)
Deklinace radiantu: 24,1°
MeteorickĂ˝ roj: sporadickĂ˝
Elementy dráhy meteoroidu:
Vzdálenost v periheliu: 0,938 AU
Excentricita: 1,000
Sklon dráhy: 98,5°
Délka vzestupného uzlu: 350,9°
Argument perihelia: 152,7°
Střední anomálie: 0,0°
Epocha: 2019 MAR 12 01:16:41
orbit plot

NeinteraktivnĂ­ graf | InteraktivnĂ­ graf

position vs time
speed and acceleration