🇳🇴 🇬🇧 🇩🇪 🇨🇿 🇫🇮

Meteor, poloha: Rødberg 2019-03-20 01:15:07 UTC

Soubor KML  |  InteraktivnĂ­ mapa

Mapa zobrazuje dráhy meteoru. Světlejší čáry ukazují směry od pozorovacích stanic při objevení se meteoru a tmavší čáry, kde byl naposledy viděn. Modrá šipka značí viditelnou dráhu meteoru.

static map
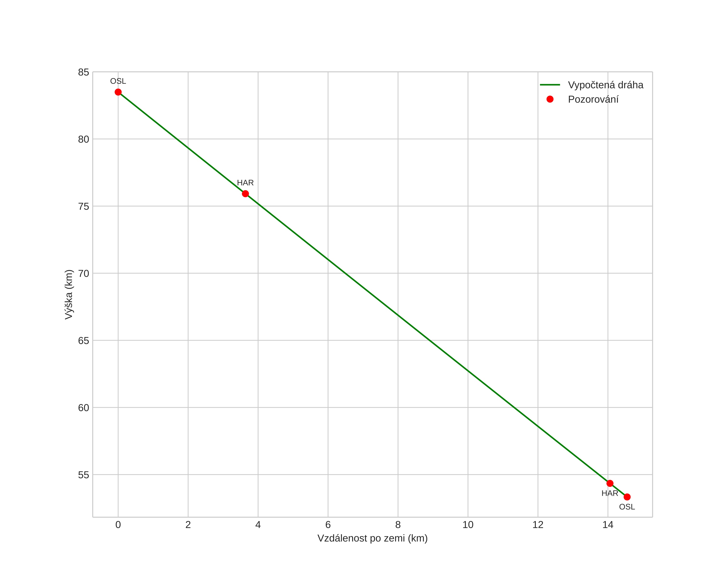
height profile
Atmosférická dráha meteoru:
Počáteční výška: 82,5 km
Konečná výška: 56,0 km
Počáteční poloha: 60,251N 8,784E
Konečná poloha: 60,359N 8,826E
Směr: 11,0°
Sklon: 65,2°
VstupnĂ­ rychlost: 21,0 km/s
Rektascenze radiantu: 13:11 (197,8°)
Deklinace radiantu: 33,6°
MeteorickĂ˝ roj: sporadickĂ˝
Elementy dráhy meteoroidu:
Vzdálenost v periheliu: 0,736 AU
Excentricita: 0,489
Sklon dráhy: 20,2°
Délka vzestupného uzlu: 358,9°
Argument perihelia: 258,2°
Střední anomálie: 330,9°
Epocha: 2019 MAR 20 01:15:07
orbit plot

NeinteraktivnĂ­ graf | InteraktivnĂ­ graf

position vs time
speed and acceleration