🇳🇴 🇬🇧 🇩🇪 🇨🇿 🇫🇮

Meteor, poloha: Bruflat 2019-03-21 02:24:20 UTC

Soubor KML  |  InteraktivnĂ­ mapa

Mapa zobrazuje dráhy meteoru. Světlejší čáry ukazují směry od pozorovacích stanic při objevení se meteoru a tmavší čáry, kde byl naposledy viděn. Modrá šipka značí viditelnou dráhu meteoru.

static map
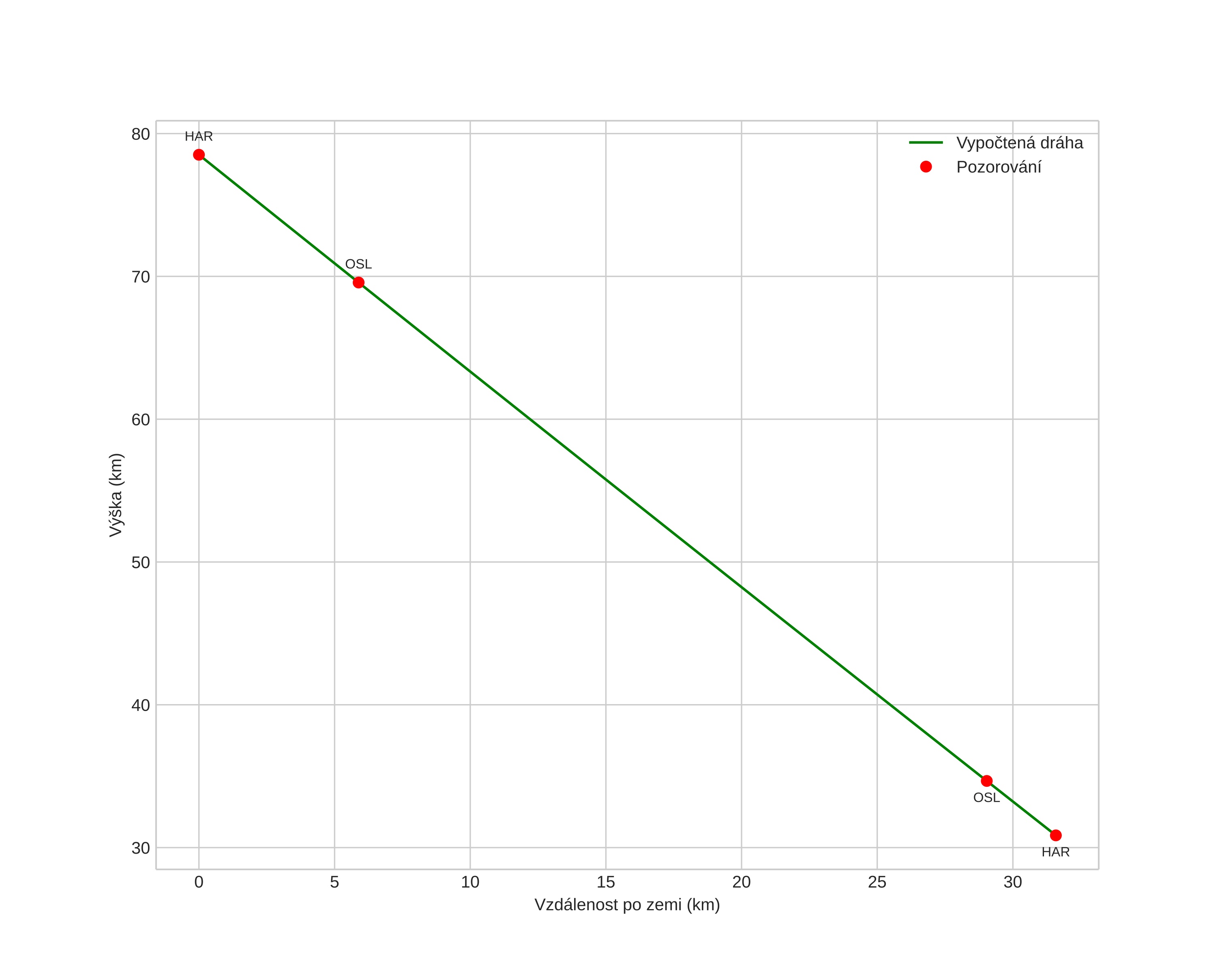
height profile
Atmosférická dráha meteoru:
Počáteční výška: 78,5 km
Konečná výška: 30,9 km
Počáteční poloha: 61,300N 9,435E
Konečná poloha: 61,039N 9,666E
Směr: 156,9°
Sklon: 56,4°
VstupnĂ­ rychlost: 12,0 km/s
Rektascenze radiantu: 06:04 (91,2°)
Deklinace radiantu: 64,5°
MeteorickĂ˝ roj: sporadickĂ˝
Elementy dráhy meteoroidu:
Vzdálenost v periheliu: 0,996 AU
Excentricita: 0,264
Sklon dráhy: 5,2°
Délka vzestupného uzlu: 359,9°
Argument perihelia: 176,4°
Střední anomálie: 2,0°
Epocha: 2019 MAR 21 02:24:20
orbit plot

NeinteraktivnĂ­ graf | InteraktivnĂ­ graf

position vs time
speed and acceleration