🇳🇴 🇬🇧 🇩🇪 🇨🇿 🇫🇮

Meteor, poloha: Årjäng 2019-03-27 23:06:42 UTC

Soubor KML  |  InteraktivnĂ­ mapa

Mapa zobrazuje dráhy meteoru. Světlejší čáry ukazují směry od pozorovacích stanic při objevení se meteoru a tmavší čáry, kde byl naposledy viděn. Modrá šipka značí viditelnou dráhu meteoru.

static map
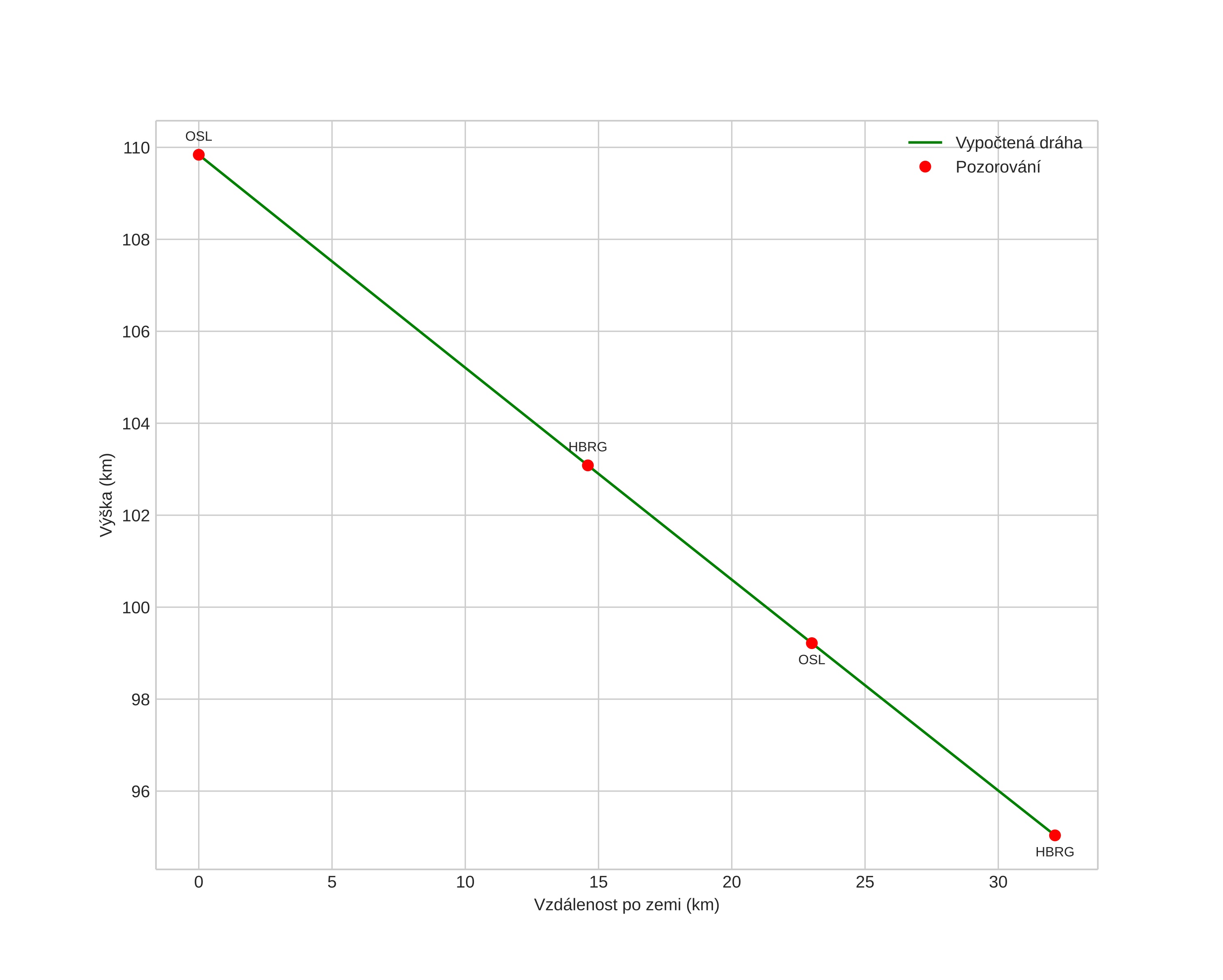
height profile
Atmosférická dráha meteoru:
Počáteční výška: 111,8 km
Konečná výška: 96,8 km
Počáteční poloha: 59,434N 12,864E
Konečná poloha: 59,426N 12,299E
Směr: 268,6°
Sklon: 25,1°
VstupnĂ­ rychlost: 73,0 km/s
Rektascenze radiantu: 17:28 (262,2°)
Deklinace radiantu: 21,8°
MeteorickĂ˝ roj: sporadickĂ˝
Elementy dráhy meteoroidu:
Vzdálenost v periheliu: 0,952 AU
Excentricita: 2,467
Sklon dráhy: 110,3°
Délka vzestupného uzlu: 6,7°
Argument perihelia: 200,8°
Střední anomálie: -20,5°
Epocha: 2019 MAR 27 23:06:42
orbit plot

NeinteraktivnĂ­ graf | InteraktivnĂ­ graf

position vs time
speed and acceleration