🇳🇴 🇬🇧 🇩🇪 🇨🇿 🇫🇮

Meteor, poloha: Skreia 2019-03-28 02:00:56 UTC

Soubor KML  |  InteraktivnĂ­ mapa

Mapa zobrazuje dráhy meteoru. Světlejší čáry ukazují směry od pozorovacích stanic při objevení se meteoru a tmavší čáry, kde byl naposledy viděn. Modrá šipka značí viditelnou dráhu meteoru.

static map
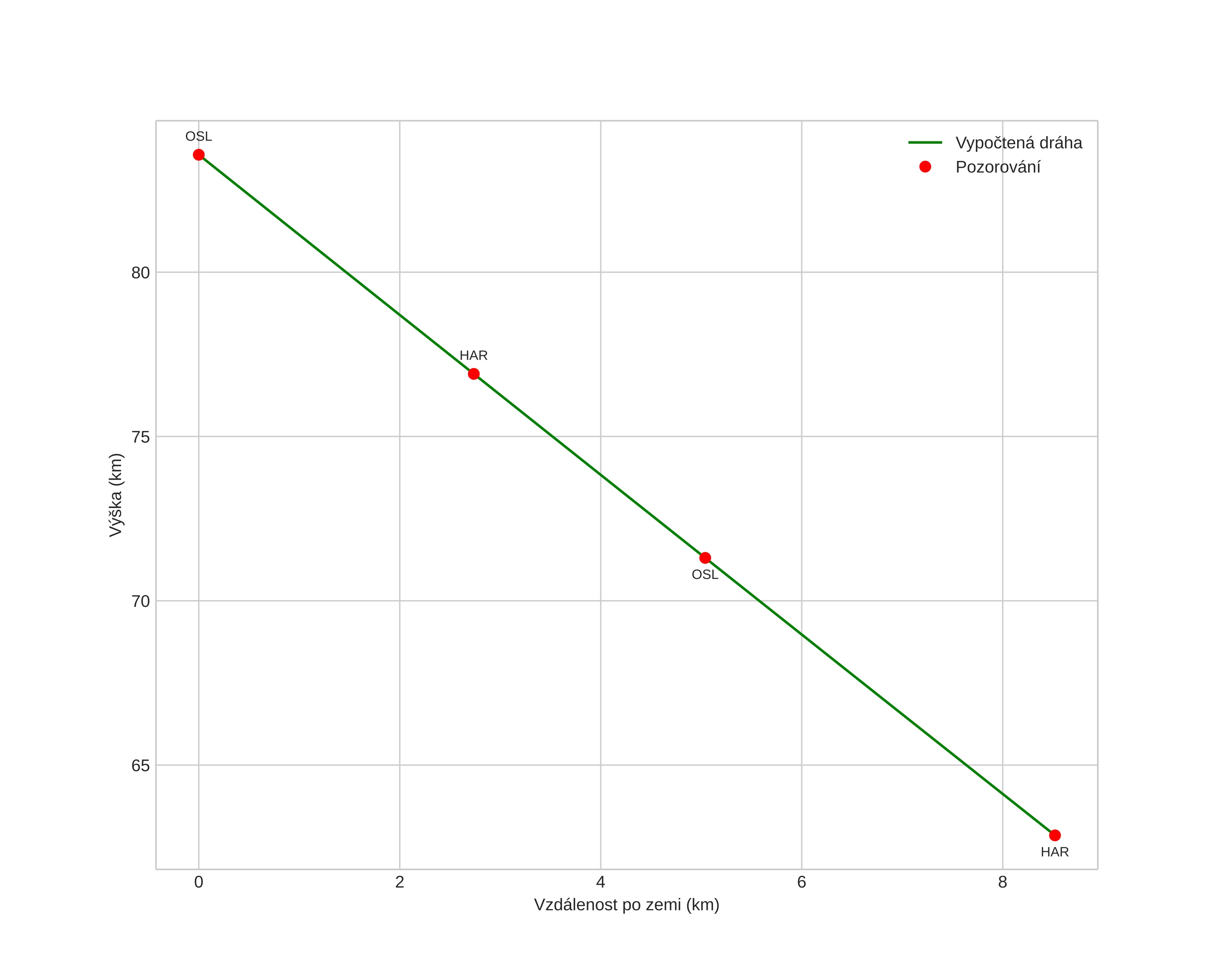
height profile
Atmosférická dráha meteoru:
Počáteční výška: 81,8 km
Konečná výška: 63,0 km
Počáteční poloha: 60,655N 11,160E
Konečná poloha: 60,612N 11,048E
Směr: 232,0°
Sklon: 67,6°
VstupnĂ­ rychlost: 19,2 km/s
Rektascenze radiantu: 18:45 (281,4°)
Deklinace radiantu: 67,1°
MeteorickĂ˝ roj: sporadickĂ˝
Elementy dráhy meteoroidu:
Vzdálenost v periheliu: 0,992 AU
Excentricita: 0,288
Sklon dráhy: 27,4°
Délka vzestupného uzlu: 6,8°
Argument perihelia: 166,8°
Střední anomálie: 7,0°
Epocha: 2019 MAR 28 02:00:56
orbit plot

NeinteraktivnĂ­ graf | InteraktivnĂ­ graf

position vs time
speed and acceleration