🇳🇴 🇬🇧 🇩🇪 🇨🇿 🇫🇮

Meteor, poloha: Eidsvoll 2019-04-07 22:11:39 UTC

Soubor KML  |  InteraktivnĂ­ mapa

Mapa zobrazuje dráhy meteoru. Světlejší čáry ukazují směry od pozorovacích stanic při objevení se meteoru a tmavší čáry, kde byl naposledy viděn. Modrá šipka značí viditelnou dráhu meteoru.

static map
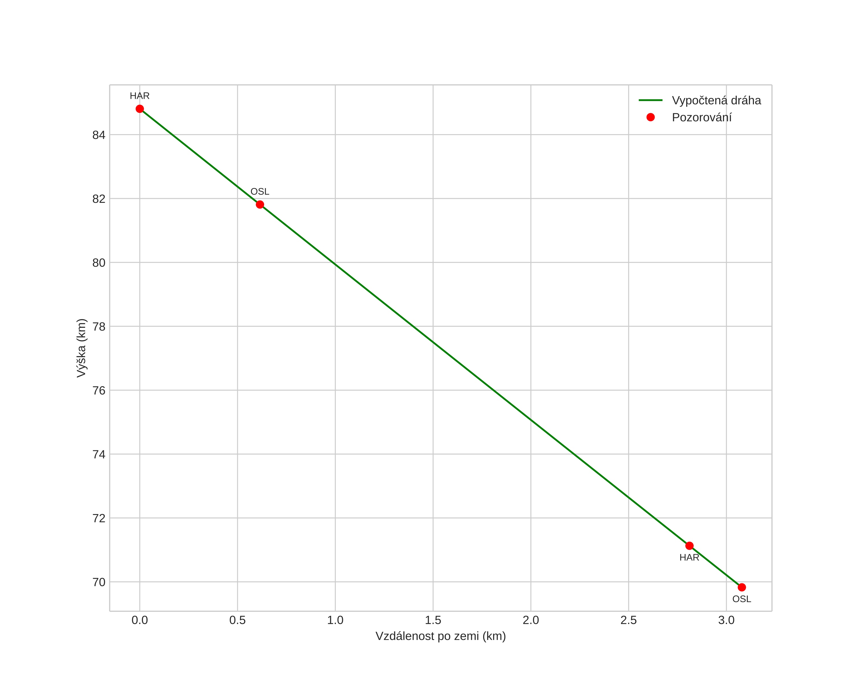
height profile
Atmosférická dráha meteoru:
Počáteční výška: 84,2 km
Konečná výška: 72,0 km
Počáteční poloha: 60,331N 11,246E
Konečná poloha: 60,319N 11,282E
Směr: 124,0°
Sklon: 79,1°
VstupnĂ­ rychlost: 16,8 km/s
Rektascenze radiantu: 10:09 (152,5°)
Deklinace radiantu: 64,8°
MeteorickĂ˝ roj: sporadickĂ˝
Elementy dráhy meteoroidu:
Vzdálenost v periheliu: 0,998 AU
Excentricita: 0,716
Sklon dráhy: 14,2°
Délka vzestupného uzlu: 17,5°
Argument perihelia: 187,1°
Střední anomálie: 359,2°
Epocha: 2019 APR 07 22:11:39
orbit plot

NeinteraktivnĂ­ graf | InteraktivnĂ­ graf

position vs time
speed and acceleration