🇳🇴 🇬🇧 🇩🇪 🇨🇿 🇫🇮

Meteor, poloha: Sauland 2019-04-07 22:51:35 UTC

Soubor KML  |  InteraktivnĂ­ mapa

Mapa zobrazuje dráhy meteoru. Světlejší čáry ukazují směry od pozorovacích stanic při objevení se meteoru a tmavší čáry, kde byl naposledy viděn. Modrá šipka značí viditelnou dráhu meteoru.

static map
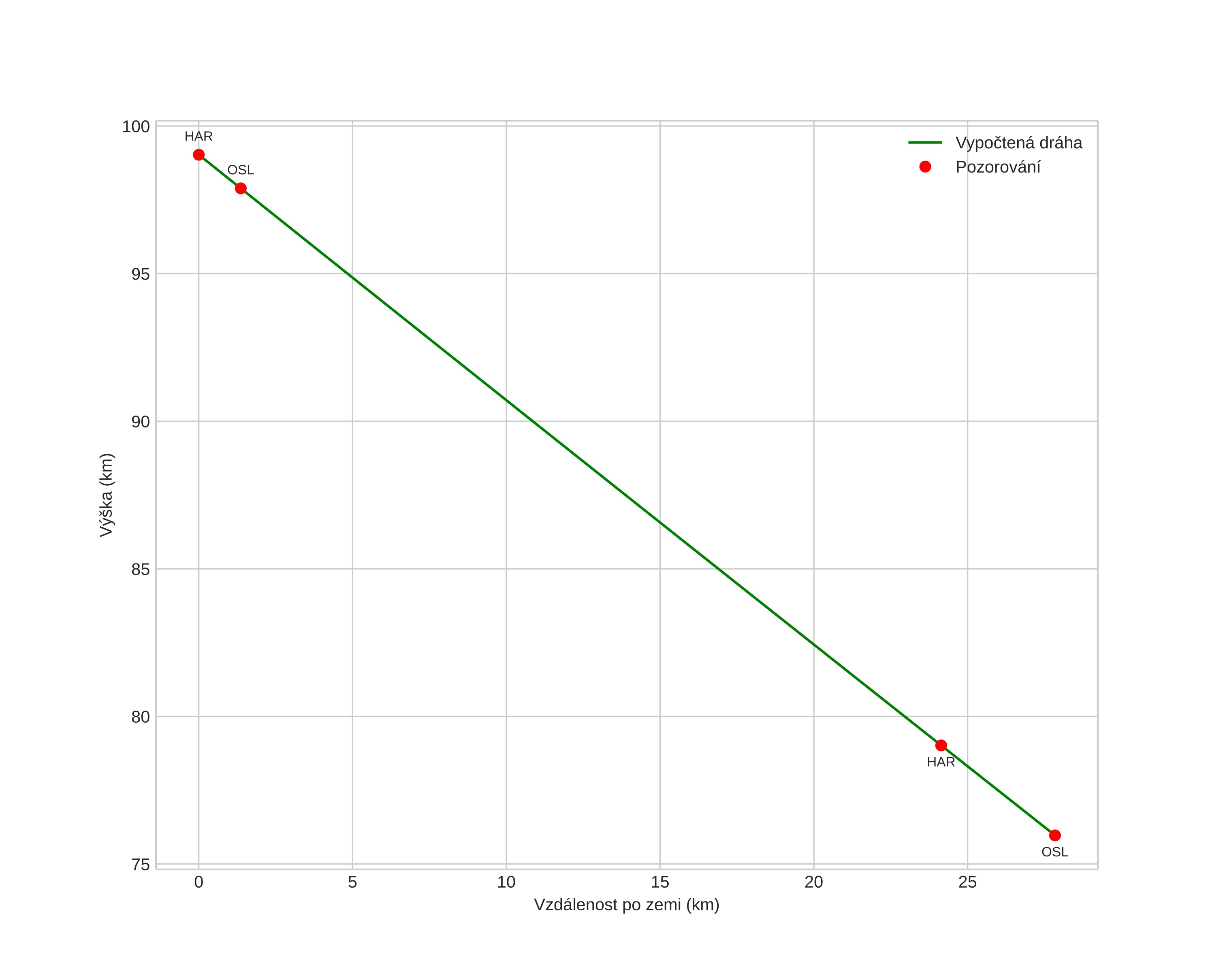
height profile
Atmosférická dráha meteoru:
Počáteční výška: 101,0 km
Konečná výška: 76,1 km
Počáteční poloha: 59,770N 9,539E
Konečná poloha: 59,866N 9,038E
Směr: 291,0°
Sklon: 39,7°
VstupnĂ­ rychlost: 50,3 km/s
Rektascenze radiantu: 16:00 (240,2°)
Deklinace radiantu: 23,9°
MeteorickĂ˝ roj: sporadickĂ˝
Elementy dráhy meteoroidu:
Vzdálenost v periheliu: 0,629 AU
Excentricita: 1,215
Sklon dráhy: 73,4°
Délka vzestupného uzlu: 17,6°
Argument perihelia: 251,2°
Střední anomálie: -6,7°
Epocha: 2019 APR 07 22:51:35
orbit plot

NeinteraktivnĂ­ graf | InteraktivnĂ­ graf

position vs time
speed and acceleration