🇳🇴 🇬🇧 🇩🇪 🇨🇿 🇫🇮

Meteor Strynin yllä 2019-04-07 23:13:00 UTC

KML-tiedosto  |  Interaktiivinen kartta

Kartta näyttää meteorin suuntahavainnot. Vaaleammat viivat näyttävät suunnat havaintoasemilta meteorin ilmestyessä, ja tummemmat viivat näyttävät, missä se viimeksi nähtiin. Sininen nuoli näyttää meteorin näkyvän lennon.

static map
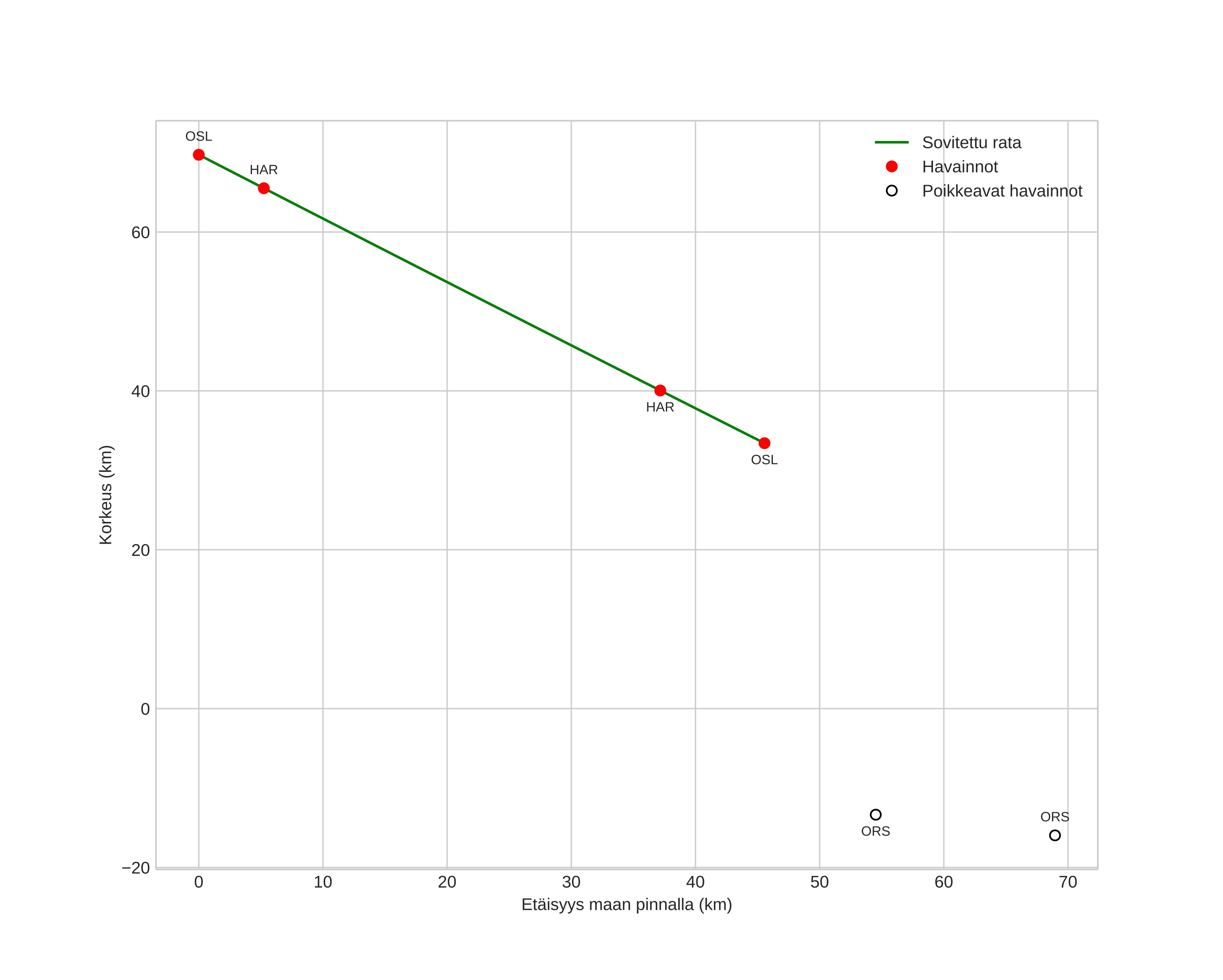
height profile
Meteorin ilmakehärata:
Alkukorkeus: 76,1 km
Loppukorkeus: 38,6 km
Alkupiste: 61,623N 6,338E
Loppupiste: 62,048N 6,671E
Suunta: 20,2°
Kallistuskulma: 36,7°
Tulonopeus: 21,1 km/s
Radiantin R,A,: 11:30 (172,5°)
Radiantin Dekl,: 5,1°
Meteoriparvi: Sporadinen
Meteoroidin rataelementit:
Perihelietäisyys: 0,847 AU
Eksentrisyys: 0,907
Inklinaatio: 0,8°
Nousevan solmun pituus: 17,7°
Perihelin argumentti: 227,4°
Keskianomalia: 358,9°
Epookki: 2019 APR 07 23:13:00
orbit plot

Ei-interaktiivinen kuvaaja | Interaktiivinen kuvaaja

position vs time
speed and acceleration