🇳🇴 🇬🇧 🇩🇪 🇨🇿 🇫🇮

Meteor, poloha: Christiansfeld 2019-04-08 19:32:28 UTC

Soubor KML  |  InteraktivnĂ­ mapa

Mapa zobrazuje dráhy meteoru. Světlejší čáry ukazují směry od pozorovacích stanic při objevení se meteoru a tmavší čáry, kde byl naposledy viděn. Modrá šipka značí viditelnou dráhu meteoru.

static map
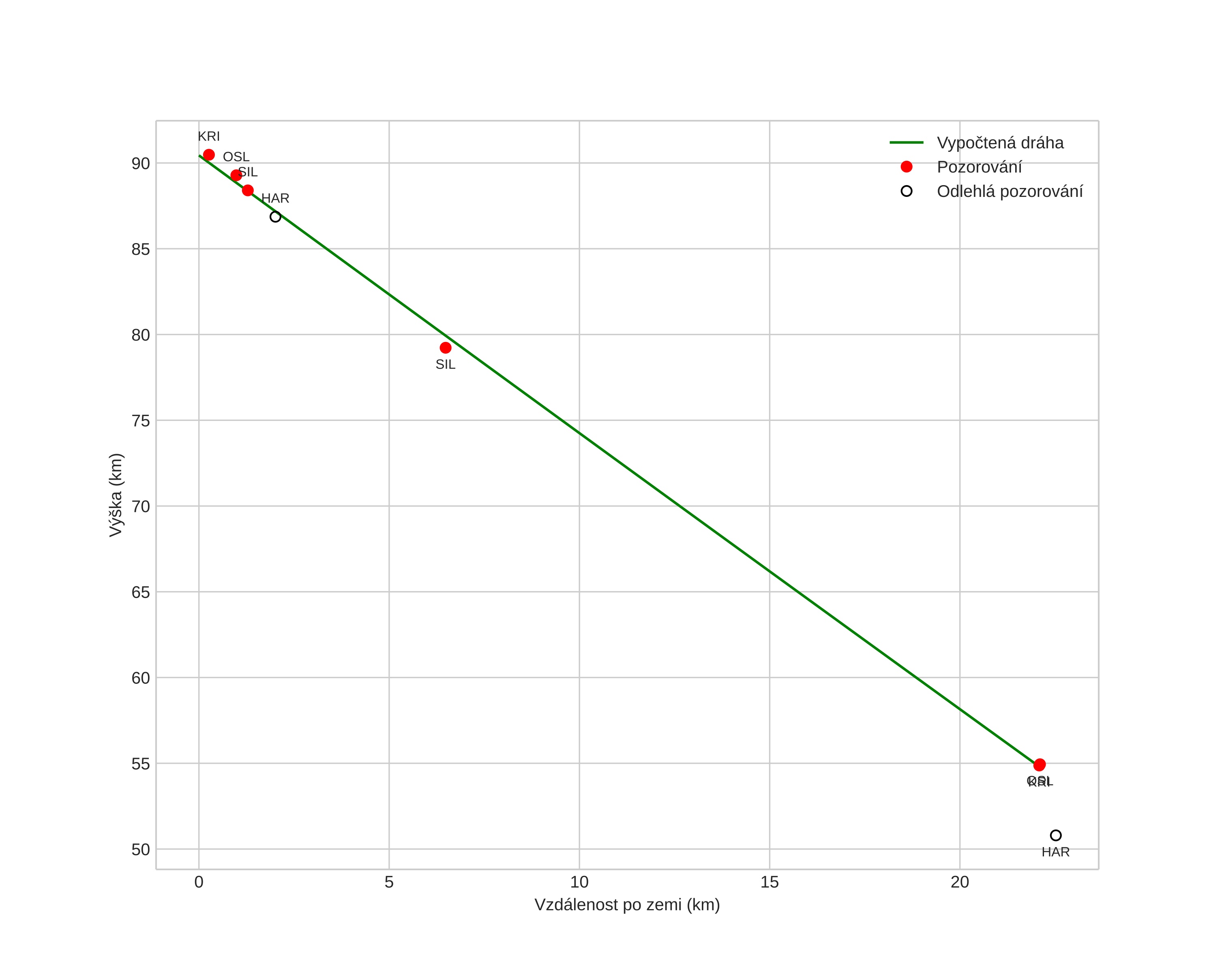
height profile
Atmosférická dráha meteoru:
Počáteční výška: 91,6 km
Konečná výška: 54,7 km
Počáteční poloha: 55,543N 9,219E
Konečná poloha: 55,370N 9,395E
Směr: 150,0°
Sklon: 58,9°
VstupnĂ­ rychlost: 17,5 km/s
Rektascenze radiantu: 03:54 (58,5°)
Deklinace radiantu: 72,0°
MeteorickĂ˝ roj: sporadickĂ˝
Elementy dráhy meteoroidu:
Vzdálenost v periheliu: 0,979 AU
Excentricita: 0,715
Sklon dráhy: 15,8°
Délka vzestupného uzlu: 18,4°
Argument perihelia: 161,3°
Střední anomálie: 2,2°
Epocha: 2019 APR 08 19:32:28
orbit plot

NeinteraktivnĂ­ graf | InteraktivnĂ­ graf

position vs time
speed and acceleration