🇳🇴 🇬🇧 🇩🇪 🇨🇿 🇫🇮

Meteor, poloha: Fossbergom 2019-04-09 20:40:07 UTC

Soubor KML  |  InteraktivnĂ­ mapa

Mapa zobrazuje dráhy meteoru. Světlejší čáry ukazují směry od pozorovacích stanic při objevení se meteoru a tmavší čáry, kde byl naposledy viděn. Modrá šipka značí viditelnou dráhu meteoru.

static map
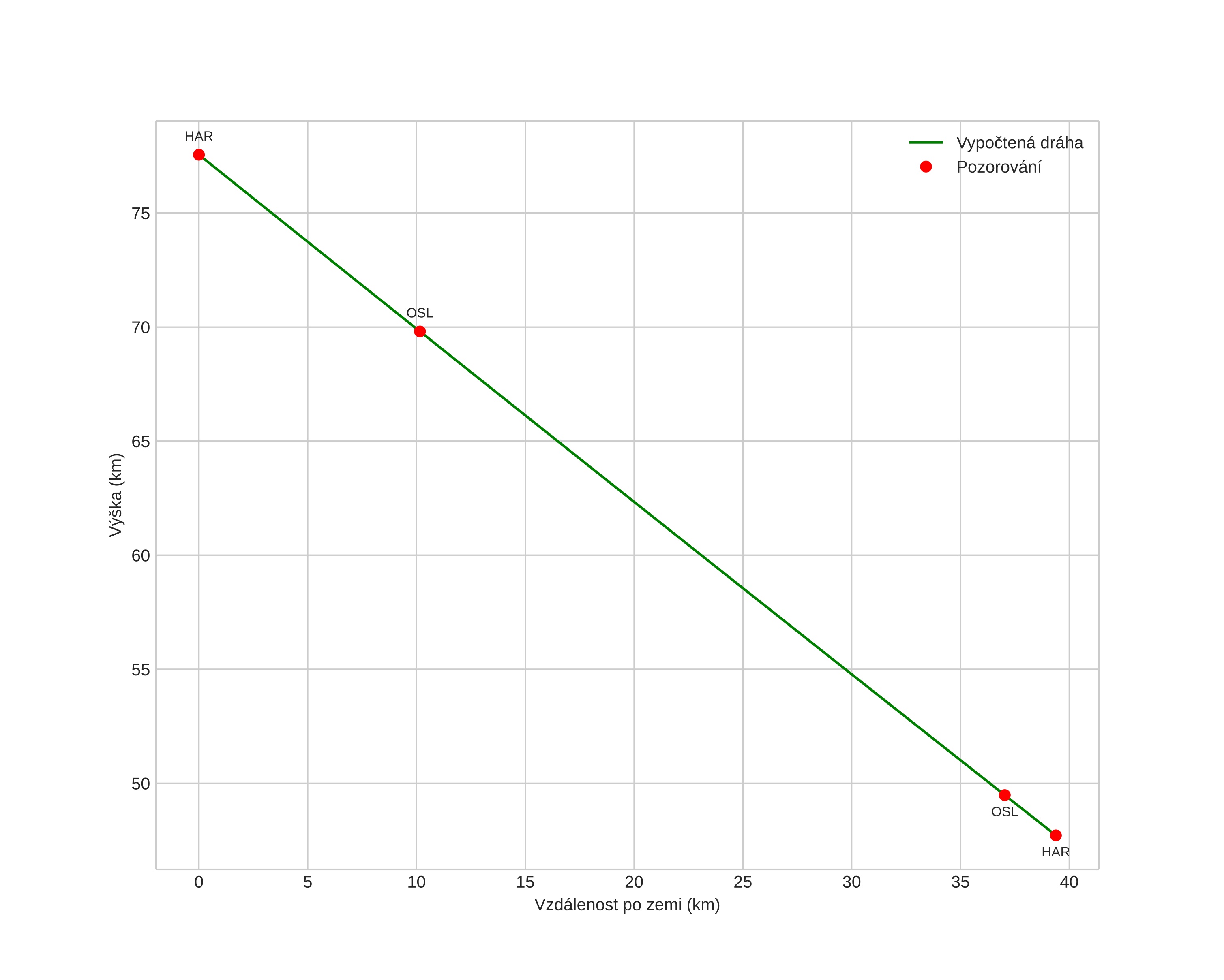
height profile
Atmosférická dráha meteoru:
Počáteční výška: 67,9 km
Konečná výška: 45,0 km
Počáteční poloha: 62,231N 8,406E
Konečná poloha: 62,017N 8,628E
Směr: 154,1°
Sklon: 40,8°
VstupnĂ­ rychlost: 16,4 km/s
Rektascenze radiantu: 01:14 (18,5°)
Deklinace radiantu: 55,8°
MeteorickĂ˝ roj: sporadickĂ˝
Elementy dráhy meteoroidu:
Vzdálenost v periheliu: 0,906 AU
Excentricita: 0,465
Sklon dráhy: 14,1°
Délka vzestupného uzlu: 19,5°
Argument perihelia: 134,4°
Střední anomálie: 15,8°
Epocha: 2019 APR 09 20:40:07
orbit plot

NeinteraktivnĂ­ graf | InteraktivnĂ­ graf

position vs time
speed and acceleration