🇳🇴 🇬🇧 🇩🇪 🇨🇿

Meteor, poloha: Danmark 2019-04-14 22:35:39 UTC

Mapa zobrazuje dráhy meteoru. Světlejší čáry ukazují směry od pozorovacích stanic při objevení se meteoru a tmavší čáry, kde byl naposledy viděn. Modrá šipka značí viditelnou dráhu meteoru.

map
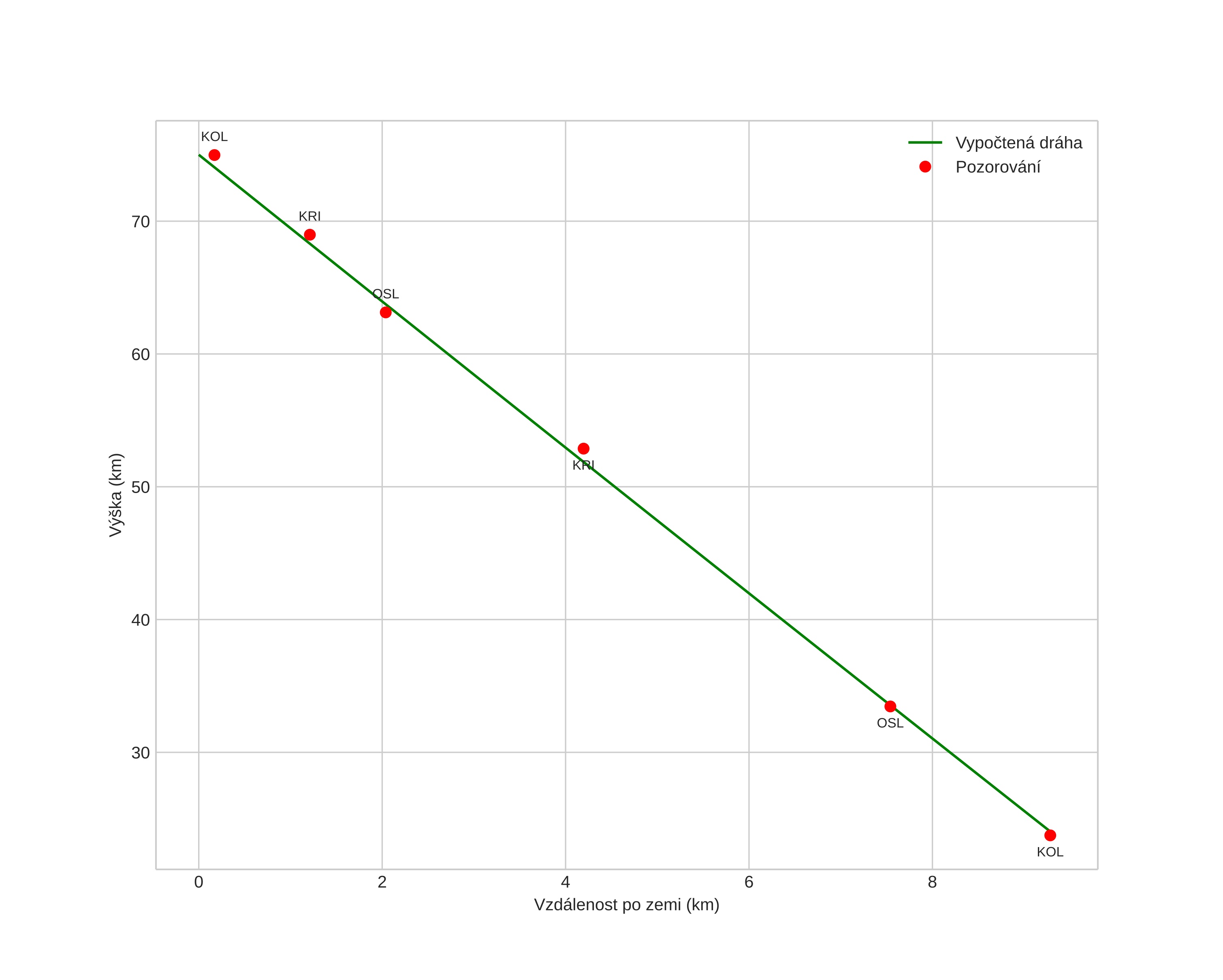
height profile
Meteorens atmosfæriske bane:
Starthøgde: 77,2 km
Slutthøgde: 23,6 km
Startposisjon: 55,102N 9,707E
Sluttposisjon: 55,090N 9,841E
Retning: 98,9°
Fallvinkel: 80,9°
Inngangshastighet: 12,9 km/s
Radiantens rektascensjon: 11:09 (167,4°)
Radiantens deklinasjon: 54,6°
Meteorsverm: sporadisk
Meteoroidens baneelement:
Perihelavstand: 0,998 AU
Eksentrisitet: 0,329
Inklinasjon: 7,8°
Knutelengde: 24,4°
Perihelargument: 191,7°
Midlere anomali: 354,4°
Epoke: 2019 APR 14
orbit plot
position vs time
speed and acceleration

Kristiansand (KRI) cam2

gnomonisk
Videoer: Gnomonisk
Gnomonisk med koordinater
Original
Original med koordinater
Bilder: Gnomonisk
Gnomonisk, koordinater
Ukorrigert gnomonisk med koordinater
Gnomonisk med annotering
Ukorrigert gnomonisk med annotering
Original
Original med koordinater
Original med maske
Tekstfiler: Deteksjon
Observasjon
Koordinater
Original til ekvirektangulær projeksjon
Original til gnonomisk projeksjon
Gnonomisk til ekvirektangulær projeksjon
Korrigert gnonomisk til ekvirektangulær projeksjon
Feilmeldinger
lyssyrke
utstrekning
ildkule

Voksenlia (OSL) cam1

gnomonisk
Videoer: Gnomonisk
Gnomonisk med koordinater
Original
Original med koordinater
Bilder: Gnomonisk
Gnomonisk, koordinater
Ukorrigert gnomonisk med koordinater
Gnomonisk med annotering
Ukorrigert gnomonisk med annotering
Original
Original med koordinater
Original med maske
Tekstfiler: Deteksjon
Observasjon
Koordinater
Original til ekvirektangulær projeksjon
Original til gnonomisk projeksjon
Gnonomisk til ekvirektangulær projeksjon
Korrigert gnonomisk til ekvirektangulær projeksjon
Feilmeldinger
lyssyrke
utstrekning
ildkule