🇳🇴 🇬🇧 🇩🇪 🇨🇿 🇫🇮

Meteor, poloha: Karlshus 2019-04-19 00:35:19 UTC

Soubor KML  |  InteraktivnĂ­ mapa

Mapa zobrazuje dráhy meteoru. Světlejší čáry ukazují směry od pozorovacích stanic při objevení se meteoru a tmavší čáry, kde byl naposledy viděn. Modrá šipka značí viditelnou dráhu meteoru.

static map
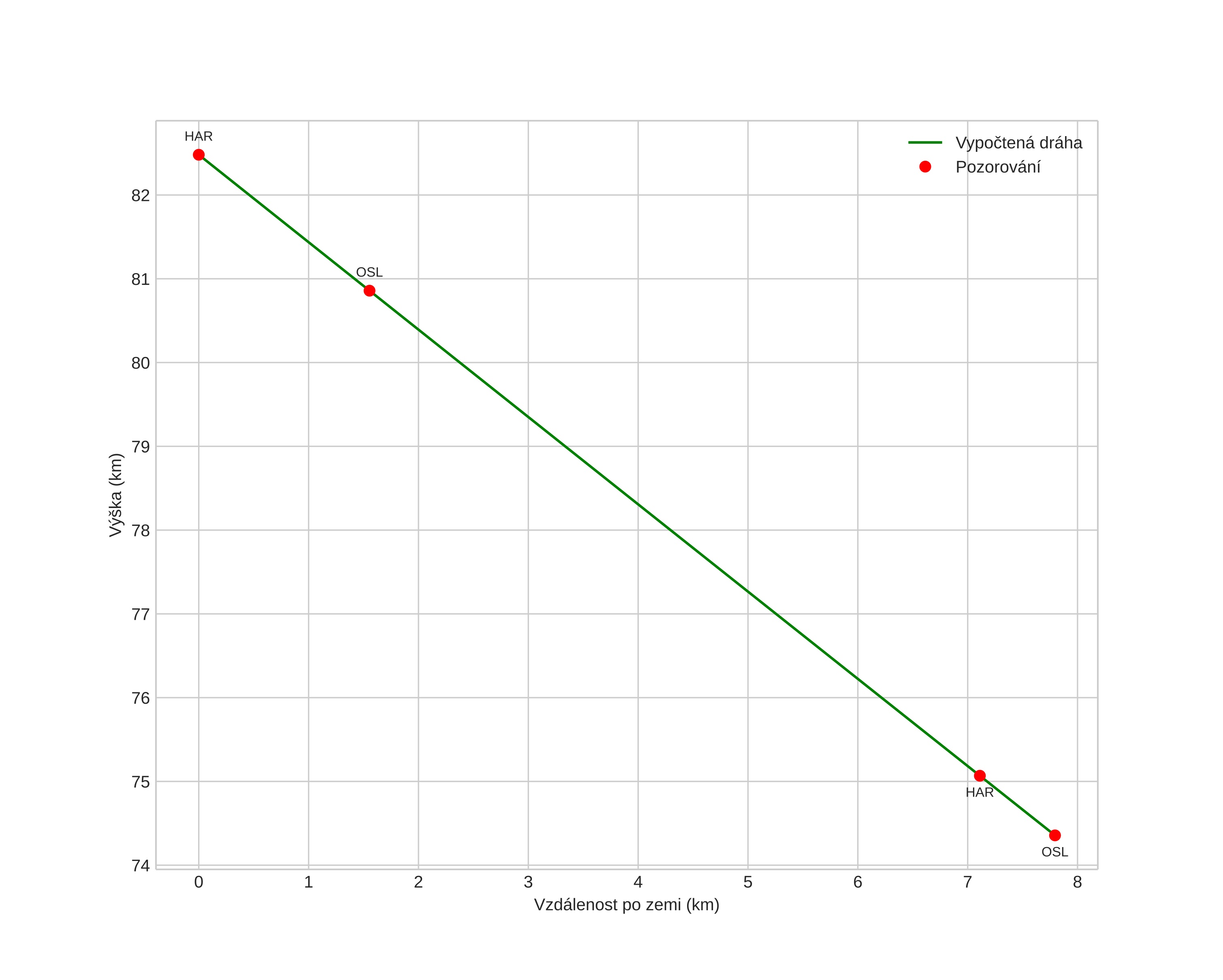
height profile
Atmosférická dráha meteoru:
Počáteční výška: 87,1 km
Konečná výška: 73,7 km
Počáteční poloha: 59,442N 10,828E
Konečná poloha: 59,415N 10,832E
Směr: 176,0°
Sklon: 77,5°
VstupnĂ­ rychlost: 22,4 km/s
Rektascenze radiantu: 14:44 (221,1°)
Deklinace radiantu: 72,7°
MeteorickĂ˝ roj: sporadickĂ˝
Elementy dráhy meteoroidu:
Vzdálenost v periheliu: 1,003 AU
Excentricita: 0,792
Sklon dráhy: 27,8°
Délka vzestupného uzlu: 28,4°
Argument perihelia: 184,9°
Střední anomálie: 359,7°
Epocha: 2019 APR 19 00:35:19
orbit plot

NeinteraktivnĂ­ graf | InteraktivnĂ­ graf

position vs time
speed and acceleration