🇳🇴 🇬🇧 🇩🇪 🇨🇿 🇫🇮

Meteor, poloha: Kiruna 2019-04-19 22:18:04 UTC

Soubor KML  |  InteraktivnĂ­ mapa

Mapa zobrazuje dráhy meteoru. Světlejší čáry ukazují směry od pozorovacích stanic při objevení se meteoru a tmavší čáry, kde byl naposledy viděn. Modrá šipka značí viditelnou dráhu meteoru.

static map
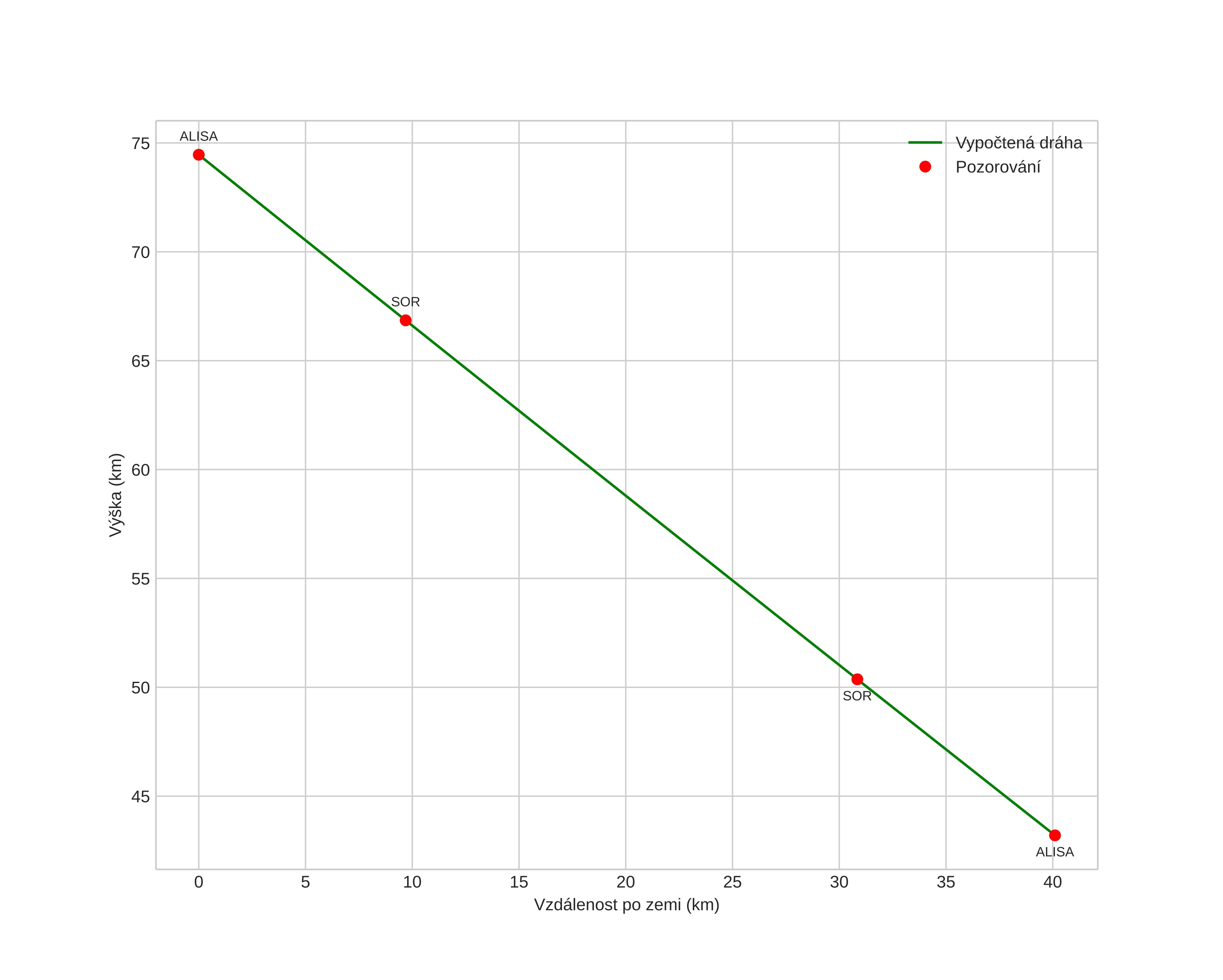
height profile
Atmosférická dráha meteoru:
Počáteční výška: 74,3 km
Konečná výška: 43,6 km
Počáteční poloha: 68,208N 20,369E
Konečná poloha: 68,347N 21,294E
Směr: 67,5°
Sklon: 36,8°
VstupnĂ­ rychlost: 13,1 km/s
Rektascenze radiantu: 09:19 (139,8°)
Deklinace radiantu: 10,3°
MeteorickĂ˝ roj: sporadickĂ˝
Elementy dráhy meteoroidu:
Vzdálenost v periheliu: 1,000 AU
Excentricita: 0,511
Sklon dráhy: 1,0°
Délka vzestupného uzlu: 209,2°
Argument perihelia: 9,2°
Střední anomálie: 357,5°
Epocha: 2019 APR 19 22:18:04
orbit plot

NeinteraktivnĂ­ graf | InteraktivnĂ­ graf

position vs time
speed and acceleration