🇳🇴 🇬🇧 🇩🇪 🇨🇿 🇫🇮

Meteor, poloha: Storsteinnes 2019-04-19 23:11:22 UTC

Soubor KML  |  InteraktivnĂ­ mapa

Mapa zobrazuje dráhy meteoru. Světlejší čáry ukazují směry od pozorovacích stanic při objevení se meteoru a tmavší čáry, kde byl naposledy viděn. Modrá šipka značí viditelnou dráhu meteoru.

static map
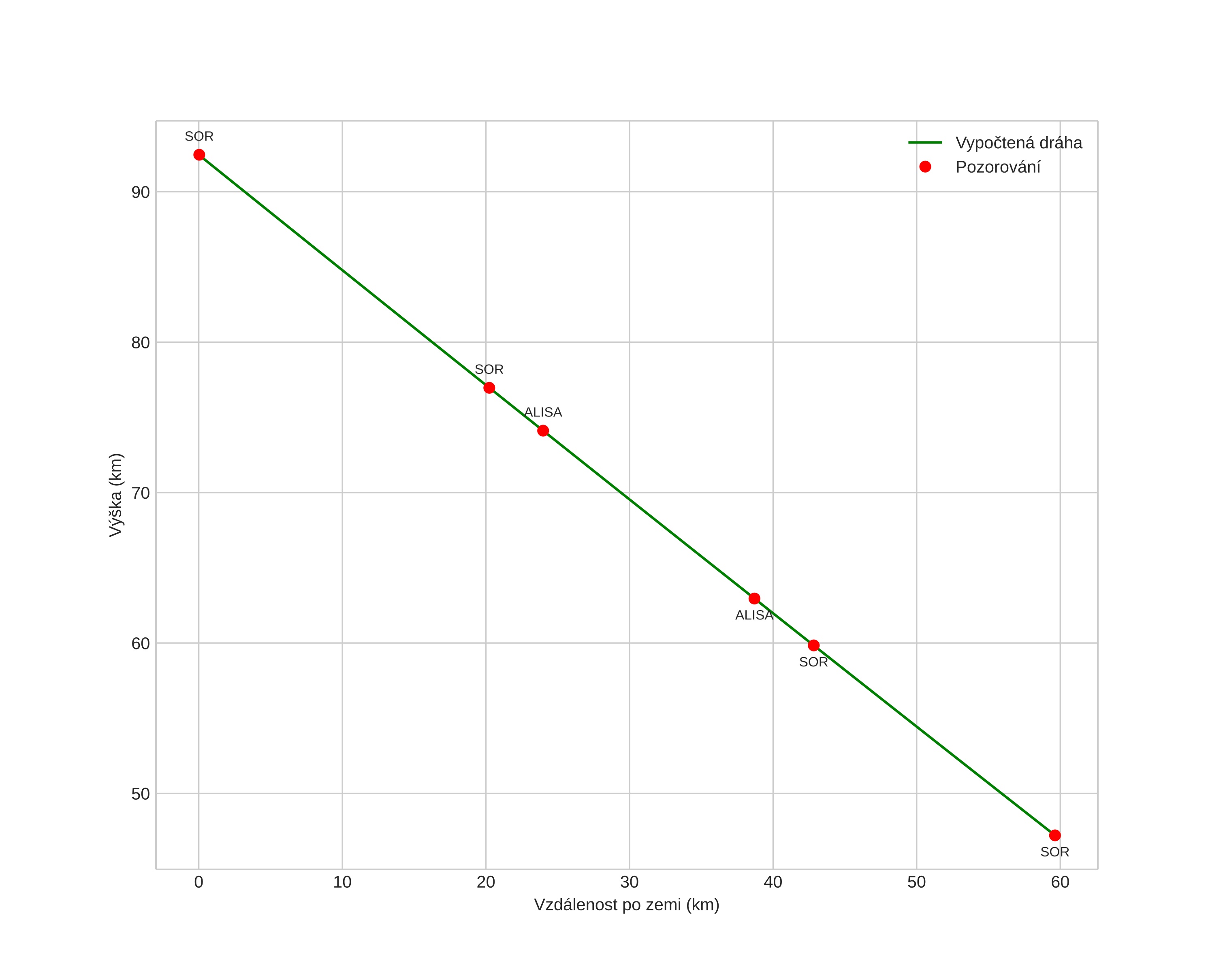
height profile
Atmosférická dráha meteoru:
Počáteční výška: 78,6 km
Konečná výška: 56,9 km
Počáteční poloha: 68,755N 18,828E
Konečná poloha: 68,558N 19,290E
Směr: 139,3°
Sklon: 37,0°
VstupnĂ­ rychlost: 14,6 km/s
Rektascenze radiantu: 05:40 (85,2°)
Deklinace radiantu: 39,7°
MeteorickĂ˝ roj: sporadickĂ˝
Elementy dráhy meteoroidu:
Vzdálenost v periheliu: 0,977 AU
Excentricita: 0,636
Sklon dráhy: 4,1°
Délka vzestupného uzlu: 29,4°
Argument perihelia: 158,3°
Střední anomálie: 3,8°
Epocha: 2019 APR 19 23:11:22
orbit plot

NeinteraktivnĂ­ graf | InteraktivnĂ­ graf

position vs time
speed and acceleration