🇳🇴 🇬🇧 🇩🇪 🇨🇿 🇫🇮

Meteor Hirtshalsin yllä 2019-04-20 01:23:24 UTC

KML-tiedosto  |  Interaktiivinen kartta

Kartta näyttää meteorin suuntahavainnot. Vaaleammat viivat näyttävät suunnat havaintoasemilta meteorin ilmestyessä, ja tummemmat viivat näyttävät, missä se viimeksi nähtiin. Sininen nuoli näyttää meteorin näkyvän lennon.

static map
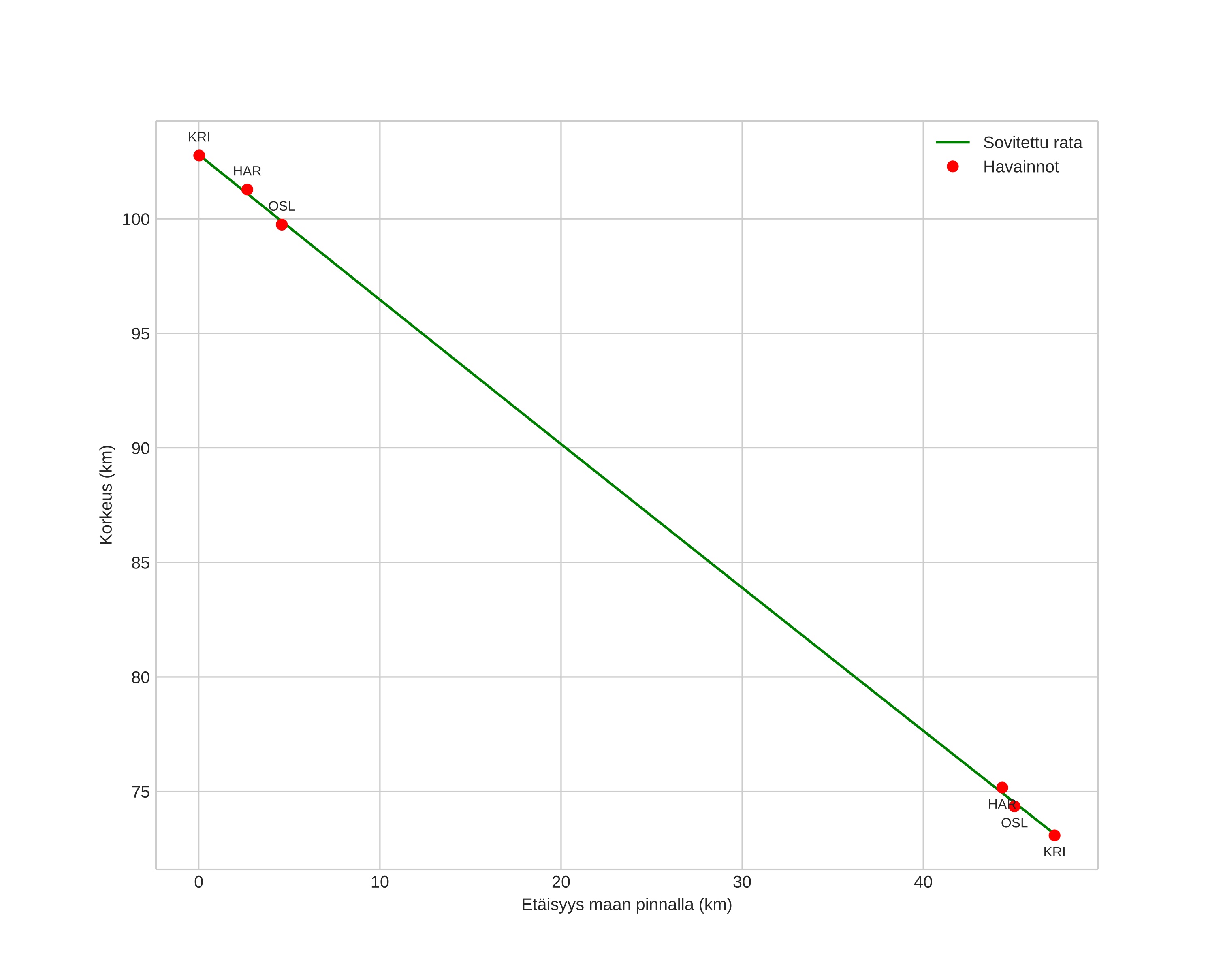
height profile
Meteorin ilmakehärata:
Alkukorkeus: 102,8 km
Loppukorkeus: 73,1 km
Alkupiste: 57,678N 10,014E
Loppupiste: 58,073N 9,717E
Suunta: 338,3°
Kallistuskulma: 32,1°
Tulonopeus: 56,2 km/s
Radiantin R,A,: 17:06 (256,5°)
Radiantin Dekl,: 1,0°
Meteoriparvi: Sporadinen
Meteoroidin rataelementit:
Perihelietäisyys: 0,305 AU
Eksentrisyys: 0,988
Inklinaatio: 106,2°
Nousevan solmun pituus: 29,4°
Perihelin argumentti: 293,7°
Keskianomalia: 359,7°
Epookki: 2019 APR 20 01:23:24
orbit plot

Ei-interaktiivinen kuvaaja | Interaktiivinen kuvaaja

position vs time
speed and acceleration