🇳🇴 🇬🇧 🇩🇪 🇨🇿 🇫🇮

Meteor, poloha: Blakstad 2019-04-22 21:11:10 UTC

Soubor KML  |  InteraktivnĂ­ mapa

Mapa zobrazuje dráhy meteoru. Světlejší čáry ukazují směry od pozorovacích stanic při objevení se meteoru a tmavší čáry, kde byl naposledy viděn. Modrá šipka značí viditelnou dráhu meteoru.

static map
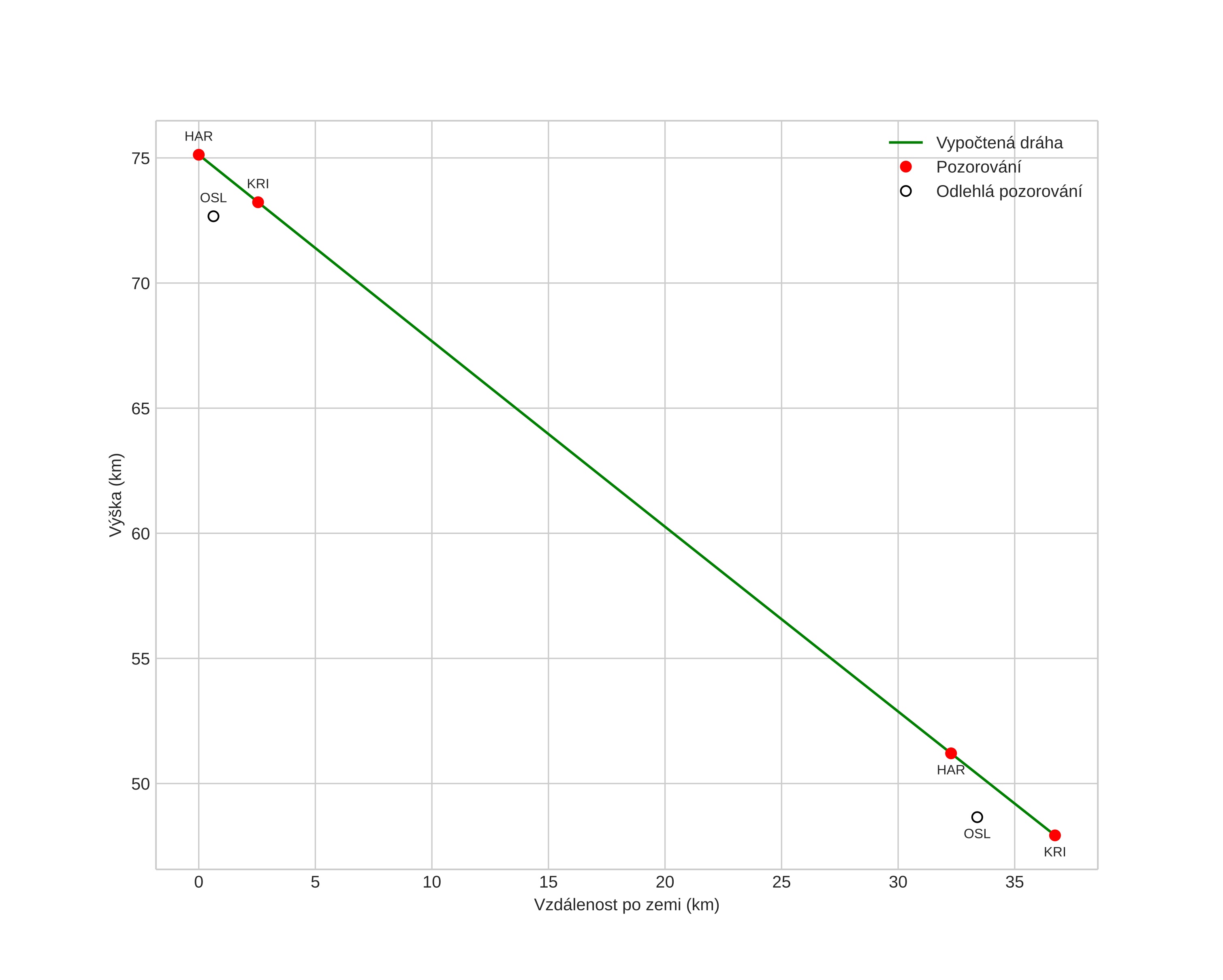
height profile
Atmosférická dráha meteoru:
Počáteční výška: 67,3 km
Konečná výška: 56,9 km
Počáteční poloha: 58,841N 8,535E
Konečná poloha: 58,522N 8,682E
Směr: 166,5°
Sklon: 15,9°
VstupnĂ­ rychlost: 12,5 km/s
Rektascenze radiantu: 00:45 (11,3°)
Deklinace radiantu: 15,4°
MeteorickĂ˝ roj: sporadickĂ˝
Elementy dráhy meteoroidu:
Vzdálenost v periheliu: 0,734 AU
Excentricita: 0,222
Sklon dráhy: 2,0°
Délka vzestupného uzlu: 32,2°
Argument perihelia: 60,7°
Střední anomálie: 95,3°
Epocha: 2019 APR 22 21:11:10
orbit plot

NeinteraktivnĂ­ graf | InteraktivnĂ­ graf

position vs time
speed and acceleration