🇳🇴 🇬🇧 🇩🇪 🇨🇿 🇫🇮

Meteor, poloha: Ørje 2019-05-16 23:55:29 UTC

Soubor KML  |  Interaktivní mapa

Mapa zobrazuje dráhy meteoru. Světlejší čáry ukazují směry od pozorovacích stanic při objevení se meteoru a tmavší čáry, kde byl naposledy viděn. Modrá šipka značí viditelnou dráhu meteoru.

static map
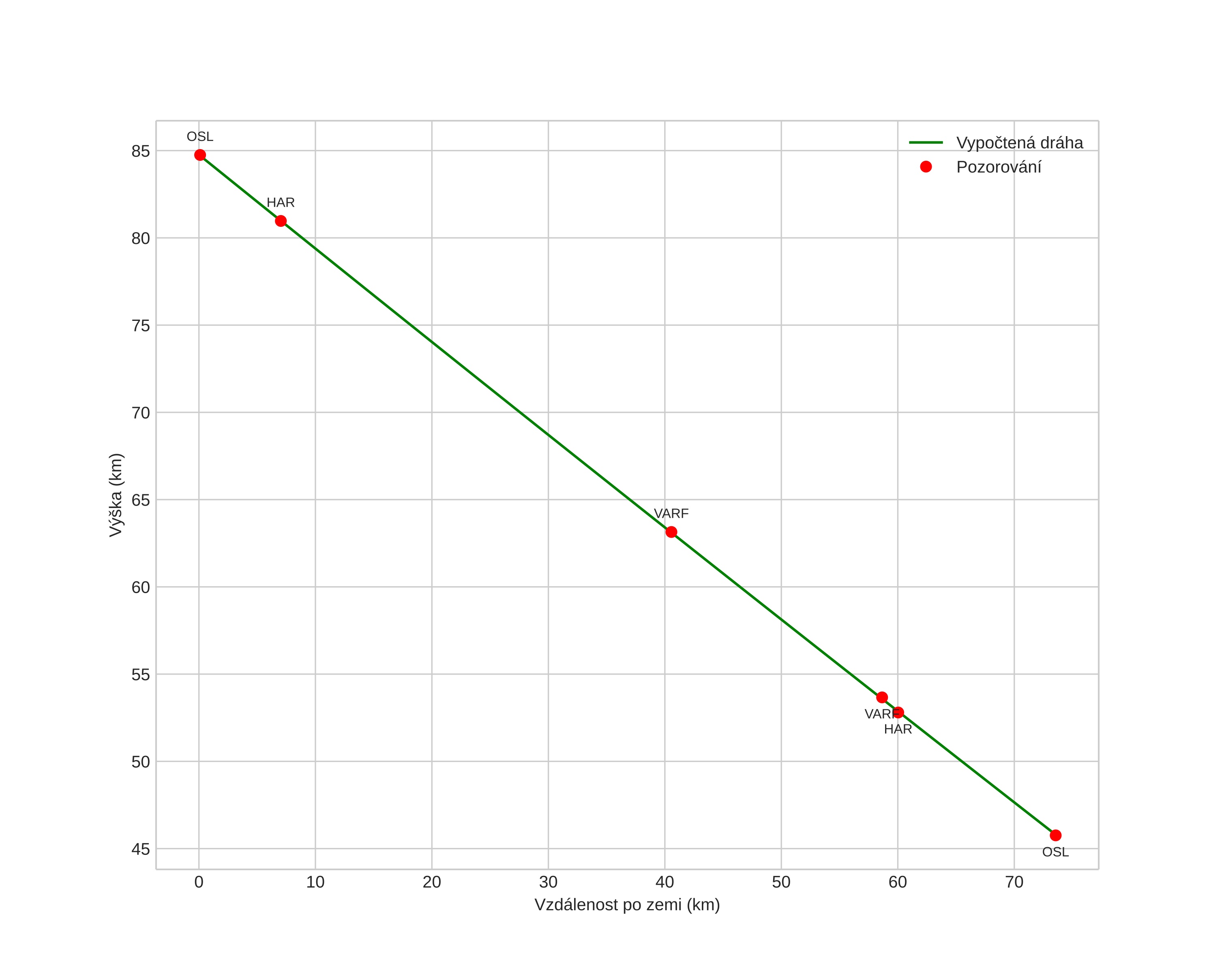
height profile
Atmosférická dráha meteoru:
Počáteční výška: 82,3 km
Konečná výška: 51,5 km
Počáteční poloha: 60,016N 10,809E
Konečná poloha: 59,680N 11,648E
Směr: 128,2°
Sklon: 27,2°
Vstupní rychlost: 13,8 km/s
Rektascenze radiantu: 08:18 (124,6°)
Deklinace radiantu: 26,6°
Meteorický roj: sporadický
Elementy dráhy meteoroidu:
Vzdálenost v periheliu: 0,996 AU
Excentricita: 0,591
Sklon dráhy: 1,5°
Délka vzestupného uzlu: 55,6°
Argument perihelia: 163,8°
Střední anomálie: 3,4°
Epocha: 2019 MAY 16 23:55:29
orbit plot

Neinteraktivní graf | Interaktivní graf

position vs time
speed and acceleration