🇳🇴 🇬🇧 🇩🇪 🇨🇿 🇫🇮

Meteor, poloha: Bagn 2019-07-16 23:04:13 UTC

Harestua – 1
Harestua – 1
Harestua – 2
Harestua – 2
Voksenlia – 2
Voksenlia – 2
Voksenlia – 3
Voksenlia – 3

Soubor KML  | Interaktivní mapa

map

Mapa zobrazuje dráhy meteoru. Světlejší čáry ukazují směry od pozorovacích stanic při objevení se meteoru a tmavší čáry, kde byl naposledy viděn. Modrá šipka značí viditelnou dráhu meteoru.

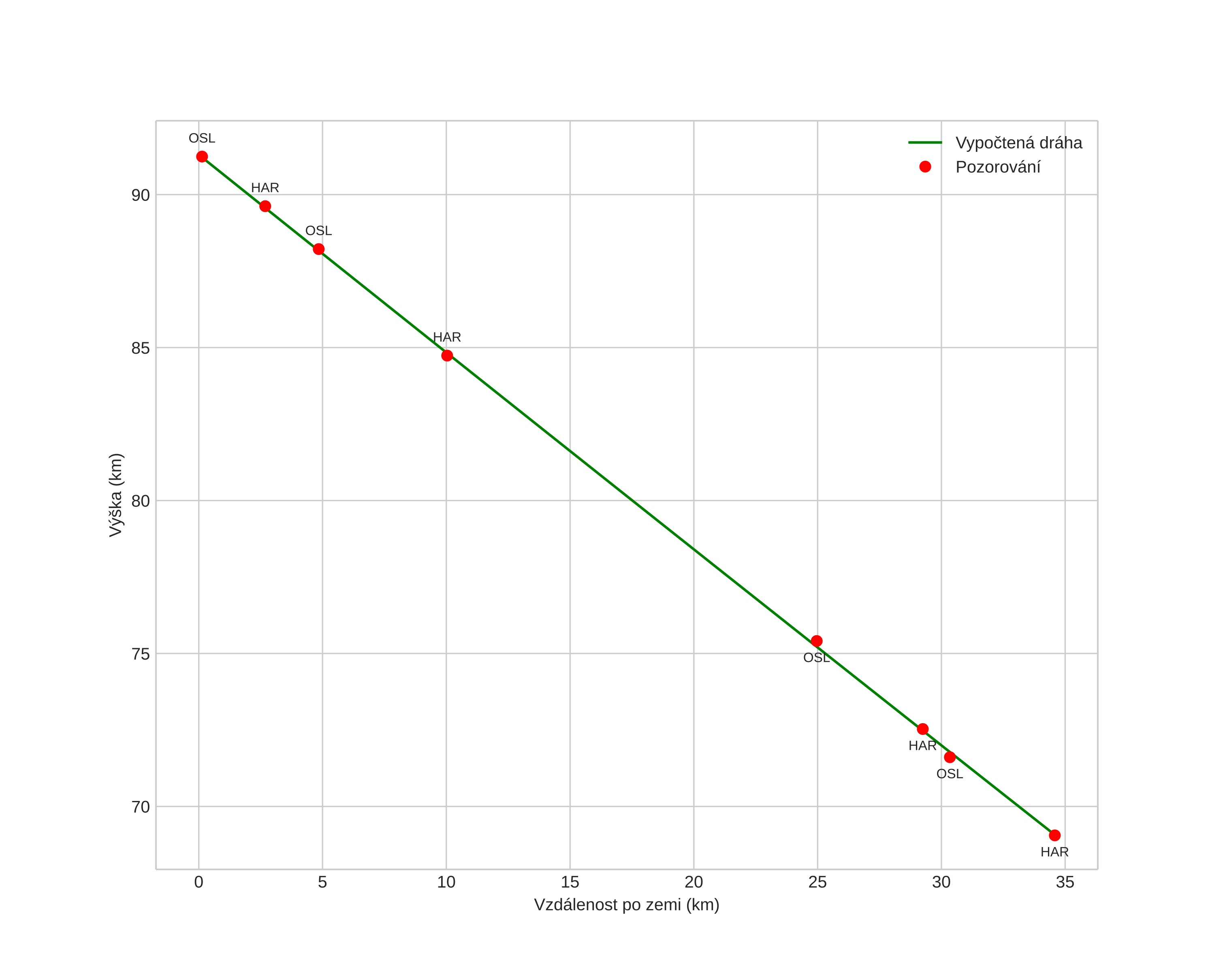
height profile
Atmosférická dráha meteoru:
Počáteční výška: 88,0 km
Konečná výška: 73,6 km
Počáteční poloha: 60,355N 9,767E
Konečná poloha: 60,655N 9,735E
Směr: 357,0°
Sklon: 23,3°
Vstupní rychlost: 25,7 km/s
Rektascenze radiantu: 19:29 (292,4°)
Deklinace radiantu: -10,2°
Meteorický roj: alpha-capricornidene
Elementy dráhy meteoroidu:
Vzdálenost v periheliu: 0,593 AU
Excentricita: 0,790
Sklon dráhy: 8,8°
Délka vzestupného uzlu: 113,9°
Argument perihelia: 266,7°
Střední anomálie: 350,7°
Epocha: 2019 JUL 16 23:04:13
orbit

Neinteraktivní graf | Interaktivní graf

position vs time
speed & acceleration