🇳🇴 🇬🇧 🇩🇪 🇨🇿 🇫🇮

Meteor, poloha: Geilo 2019-07-16 23:41:49 UTC

Soubor KML  |  InteraktivnĂ­ mapa

Mapa zobrazuje dráhy meteoru. Světlejší čáry ukazují směry od pozorovacích stanic při objevení se meteoru a tmavší čáry, kde byl naposledy viděn. Modrá šipka značí viditelnou dráhu meteoru.

static map
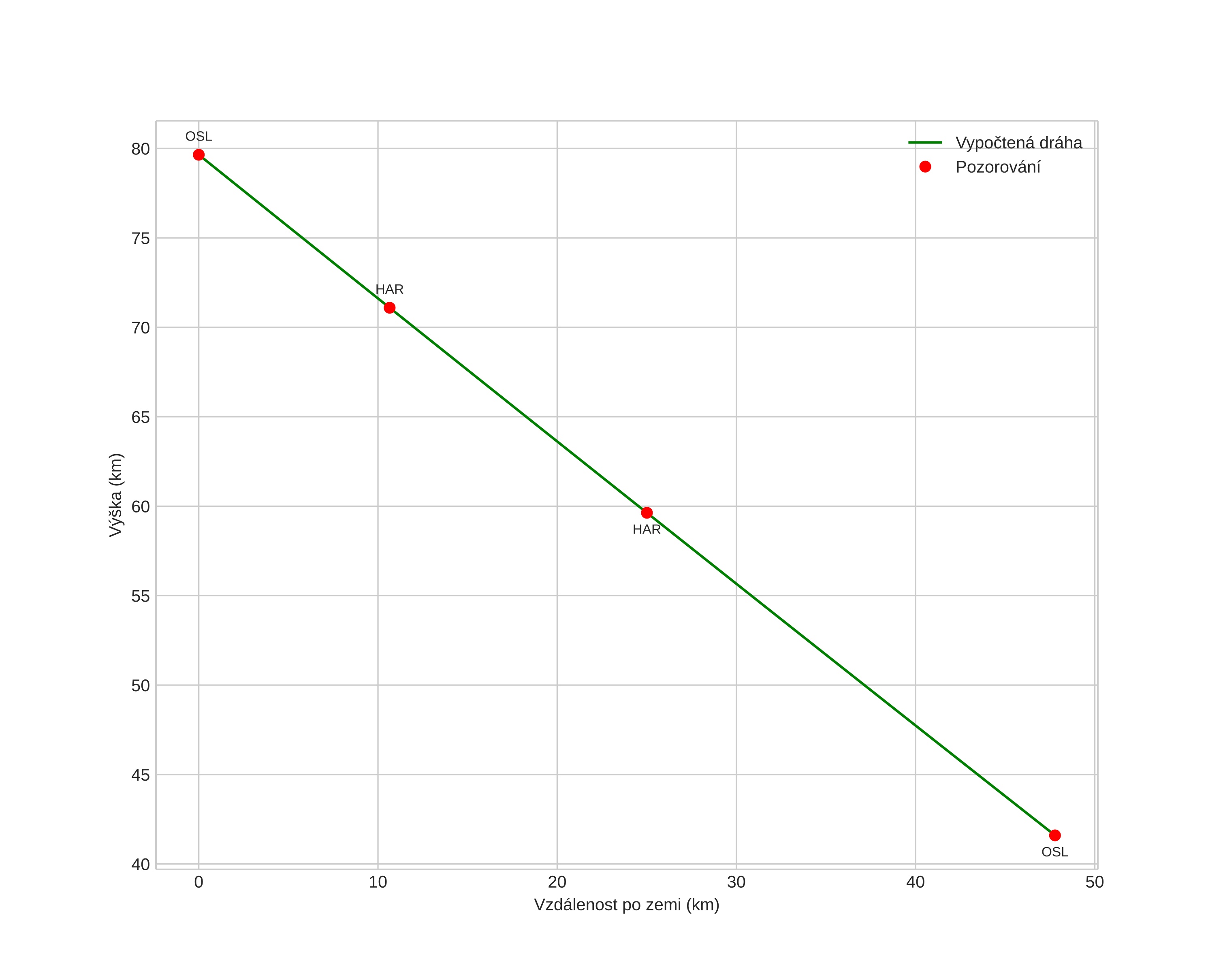
height profile
Atmosférická dráha meteoru:
Počáteční výška: 84,8 km
Konečná výška: 42,9 km
Počáteční poloha: 61,265N 7,671E
Konečná poloha: 60,803N 7,937E
Směr: 164,3°
Sklon: 38,1°
VstupnĂ­ rychlost: 27,4 km/s
Rektascenze radiantu: 09:46 (146,6°)
Deklinace radiantu: 62,4°
MeteorickĂ˝ roj: sporadickĂ˝
Elementy dráhy meteoroidu:
Vzdálenost v periheliu: 0,825 AU
Excentricita: 0,914
Sklon dráhy: 29,0°
Délka vzestupného uzlu: 113,9°
Argument perihelia: 127,2°
Střední anomálie: 1,1°
Epocha: 2019 JUL 16 23:41:49
orbit plot

NeinteraktivnĂ­ graf | InteraktivnĂ­ graf

position vs time
speed and acceleration