🇳🇴 🇬🇧 🇩🇪 🇨🇿 🇫🇮

Meteor Bismon yllä 2019-08-02 22:04:58 UTC

KML-tiedosto  |  Interaktiivinen kartta

Kartta näyttää meteorin suuntahavainnot. Vaaleammat viivat näyttävät suunnat havaintoasemilta meteorin ilmestyessä, ja tummemmat viivat näyttävät, missä se viimeksi nähtiin. Sininen nuoli näyttää meteorin näkyvän lennon.

static map
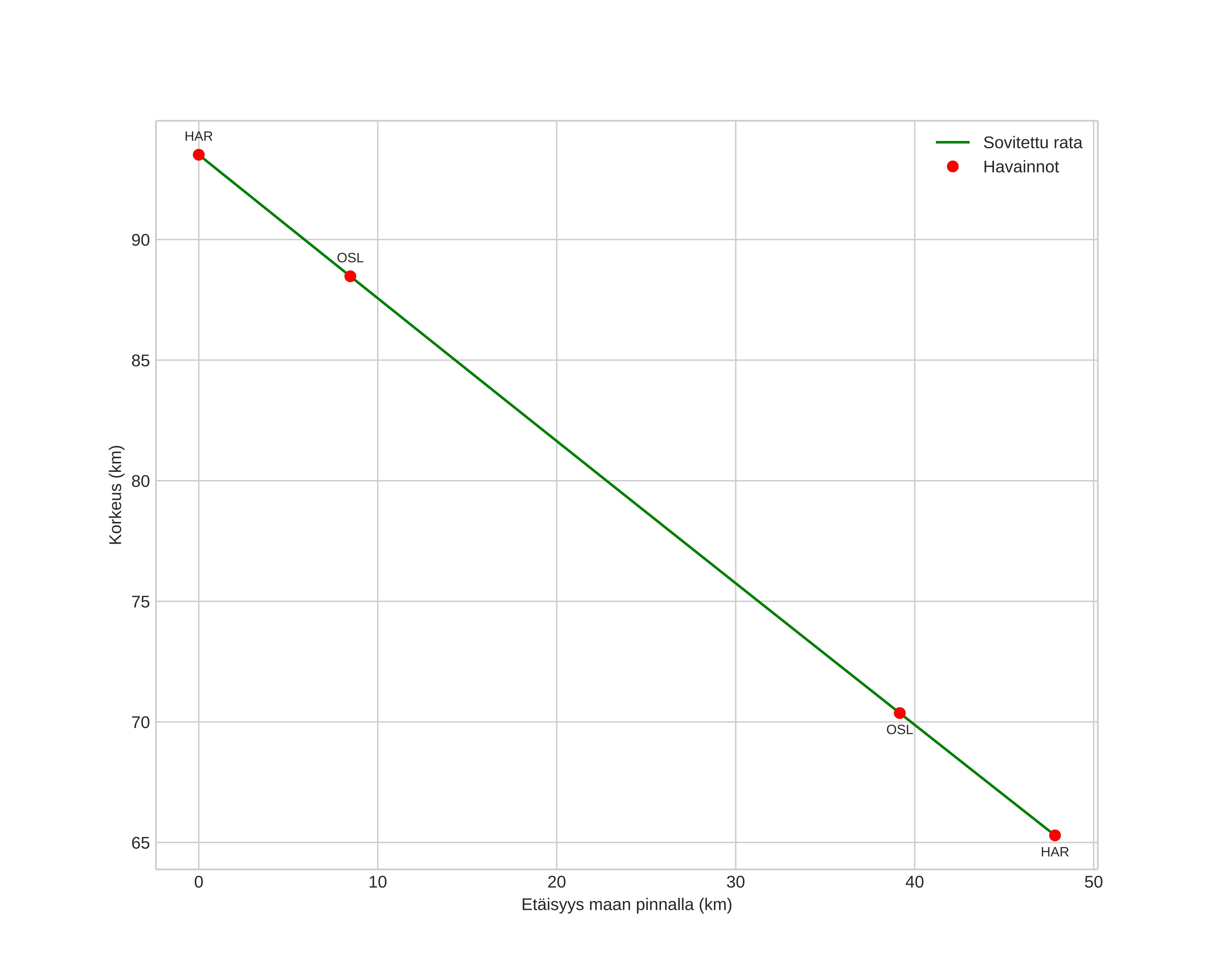
height profile
Meteorin ilmakehärata:
Alkukorkeus: 97,1 km
Loppukorkeus: 67,6 km
Alkupiste: 61,536N 8,975E
Loppupiste: 62,262N 8,369E
Suunta: 338,8°
Kallistuskulma: 18,8°
Tulonopeus: 28,3 km/s
Radiantin R,A,: 20:45 (311,5°)
Radiantin Dekl,: -11,4°
Meteoriparvi: Sporadinen
Meteoroidin rataelementit:
Perihelietäisyys: 0,529 AU
Eksentrisyys: 0,869
Inklinaatio: 5,7°
Nousevan solmun pituus: 130,1°
Perihelin argumentti: 271,7°
Keskianomalia: 354,8°
Epookki: 2019 AUG 02 22:04:58
orbit plot

Ei-interaktiivinen kuvaaja | Interaktiivinen kuvaaja

position vs time
speed and acceleration