🇳🇴 🇬🇧 🇩🇪 🇨🇿 🇫🇮

Meteor, poloha: Vestbygd 2019-08-02 22:40:14 UTC

Soubor KML  |  InteraktivnĂ­ mapa

Mapa zobrazuje dráhy meteoru. Světlejší čáry ukazují směry od pozorovacích stanic při objevení se meteoru a tmavší čáry, kde byl naposledy viděn. Modrá šipka značí viditelnou dráhu meteoru.

static map
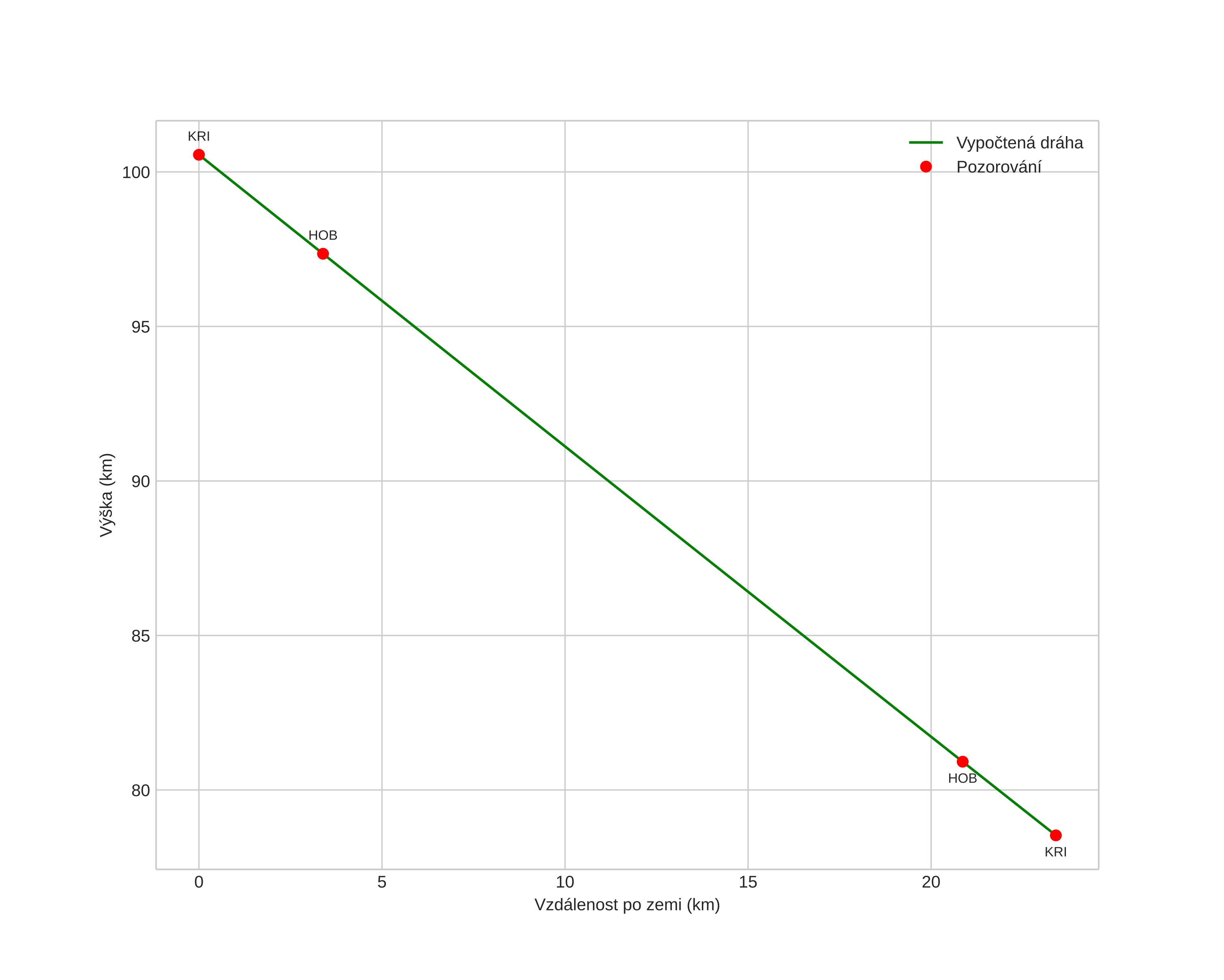
height profile
Atmosférická dráha meteoru:
Počáteční výška: 99,0 km
Konečná výška: 79,6 km
Počáteční poloha: 57,202N 6,247E
Konečná poloha: 57,080N 6,000E
Směr: 227,8°
Sklon: 43,9°
VstupnĂ­ rychlost: 68,4 km/s
Rektascenze radiantu: 02:02 (30,7°)
Deklinace radiantu: 57,5°
MeteorickĂ˝ roj: Perseidy
Elementy dráhy meteoroidu:
Vzdálenost v periheliu: 0,983 AU
Excentricita: 1,838
Sklon dráhy: 114,0°
Délka vzestupného uzlu: 130,1°
Argument perihelia: 162,2°
Střední anomálie: 8,3°
Epocha: 2019 AUG 02 22:40:14
orbit plot

NeinteraktivnĂ­ graf | InteraktivnĂ­ graf

position vs time
speed and acceleration