🇳🇴 🇬🇧 🇩🇪 🇨🇿 🇫🇮

Meteor, poloha: Torsby 2019-08-15 01:47:38 UTC

Soubor KML  |  InteraktivnĂ­ mapa

Mapa zobrazuje dráhy meteoru. Světlejší čáry ukazují směry od pozorovacích stanic při objevení se meteoru a tmavší čáry, kde byl naposledy viděn. Modrá šipka značí viditelnou dráhu meteoru.

static map
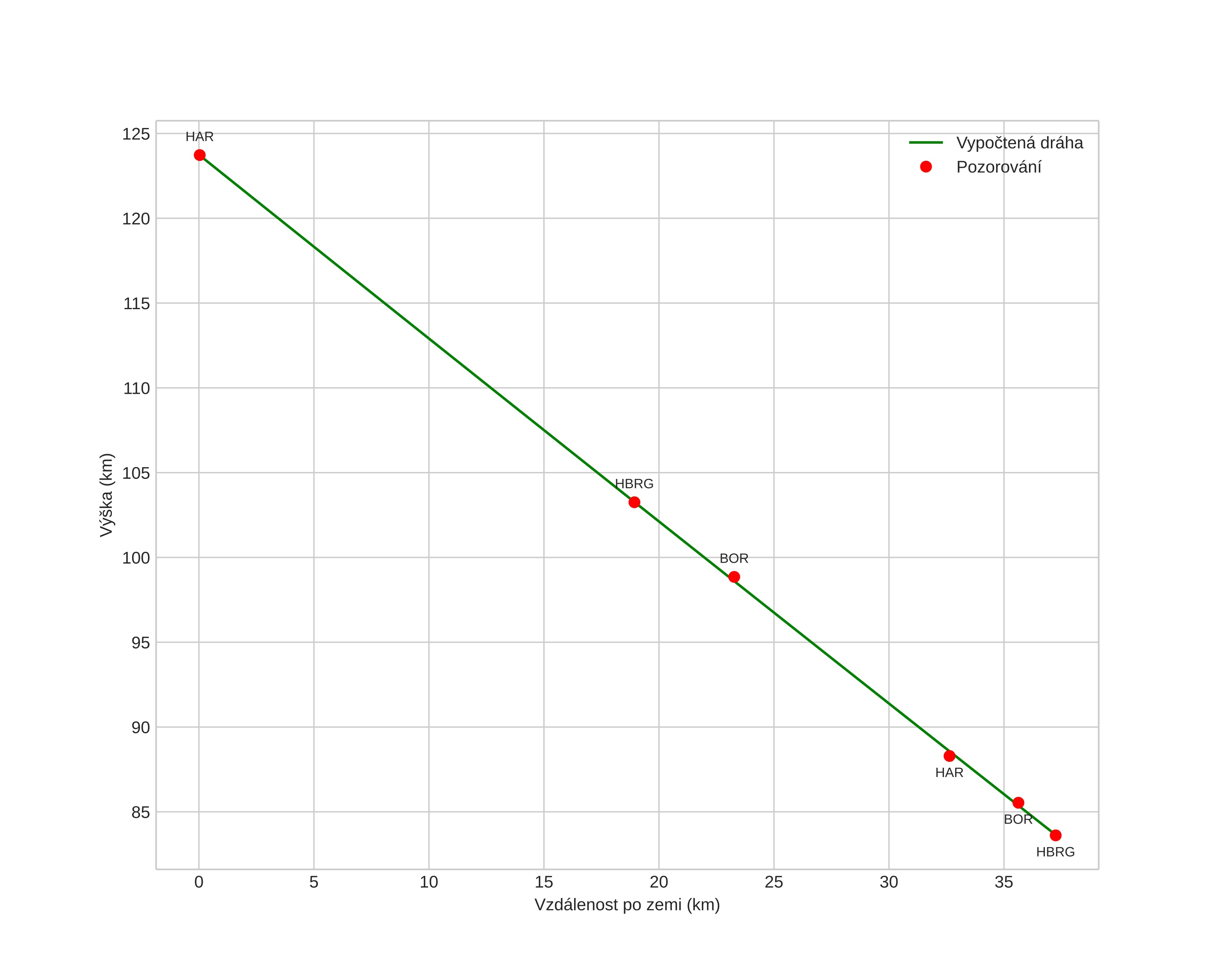
height profile
Atmosférická dráha meteoru:
Počáteční výška: 116,0 km
Konečná výška: 83,5 km
Počáteční poloha: 60,171N 13,189E
Konečná poloha: 60,152N 12,662E
Směr: 266,1°
Sklon: 48,0°
VstupnĂ­ rychlost: 71,3 km/s
Rektascenze radiantu: 04:26 (66,6°)
Deklinace radiantu: 41,7°
MeteorickĂ˝ roj: sporadickĂ˝
Elementy dráhy meteoroidu:
Vzdálenost v periheliu: 0,807 AU
Excentricita: 1,344
Sklon dráhy: 144,2°
Délka vzestupného uzlu: 141,7°
Argument perihelia: 130,3°
Střední anomálie: 7,7°
Epocha: 2019 AUG 15 01:47:38
orbit plot

NeinteraktivnĂ­ graf | InteraktivnĂ­ graf

position vs time
speed and acceleration