🇳🇴 🇬🇧 🇩🇪 🇨🇿 🇫🇮

Meteor, poloha: RĂĄholt 2019-08-30 02:31:43 UTC

Soubor KML  |  InteraktivnĂ­ mapa

Mapa zobrazuje dráhy meteoru. Světlejší čáry ukazují směry od pozorovacích stanic při objevení se meteoru a tmavší čáry, kde byl naposledy viděn. Modrá šipka značí viditelnou dráhu meteoru.

static map
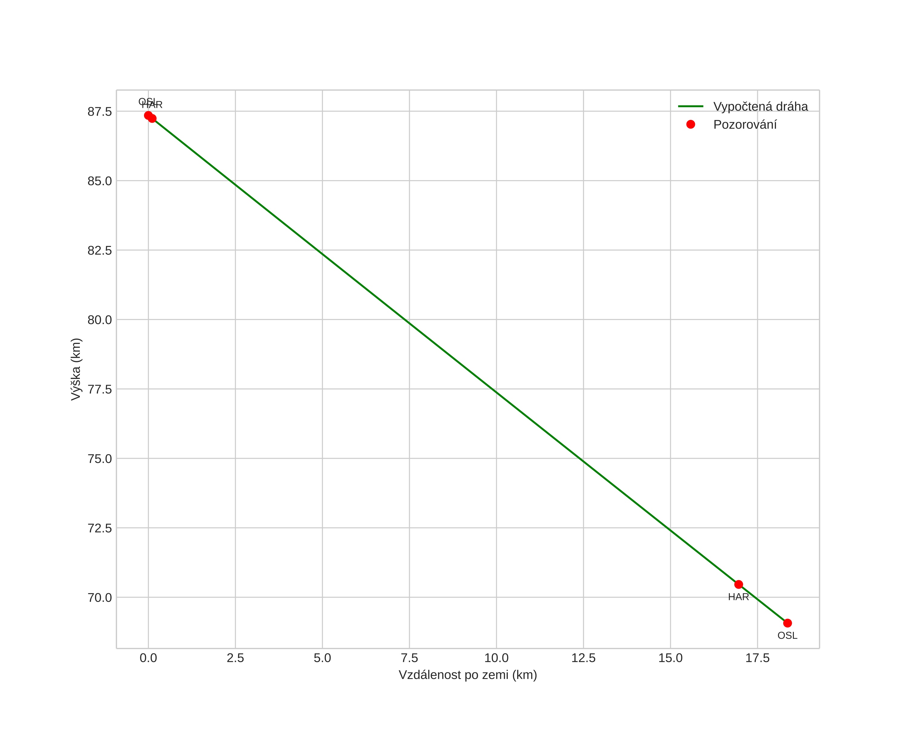
height profile
Atmosférická dráha meteoru:
Počáteční výška: 88,4 km
Konečná výška: 70,3 km
Počáteční poloha: 60,482N 11,017E
Konečná poloha: 60,333N 11,171E
Směr: 153,0°
Sklon: 44,2°
VstupnĂ­ rychlost: 24,7 km/s
Rektascenze radiantu: 17:24 (261,1°)
Deklinace radiantu: 64,5°
MeteorickĂ˝ roj: sporadickĂ˝
Elementy dráhy meteoroidu:
Vzdálenost v periheliu: 1,009 AU
Excentricita: 0,634
Sklon dráhy: 35,8°
Délka vzestupného uzlu: 156,2°
Argument perihelia: 177,4°
Střední anomálie: 0,5°
Epocha: 2019 AUG 30 02:31:43
orbit plot

NeinteraktivnĂ­ graf | InteraktivnĂ­ graf

position vs time
speed and acceleration