🇳🇴 🇬🇧 🇩🇪 🇨🇿 🇫🇮

Meteor, poloha: Prestestranda 2019-09-12 21:18:58 UTC

Soubor KML  |  InteraktivnĂ­ mapa

Mapa zobrazuje dráhy meteoru. Světlejší čáry ukazují směry od pozorovacích stanic při objevení se meteoru a tmavší čáry, kde byl naposledy viděn. Modrá šipka značí viditelnou dráhu meteoru.

static map
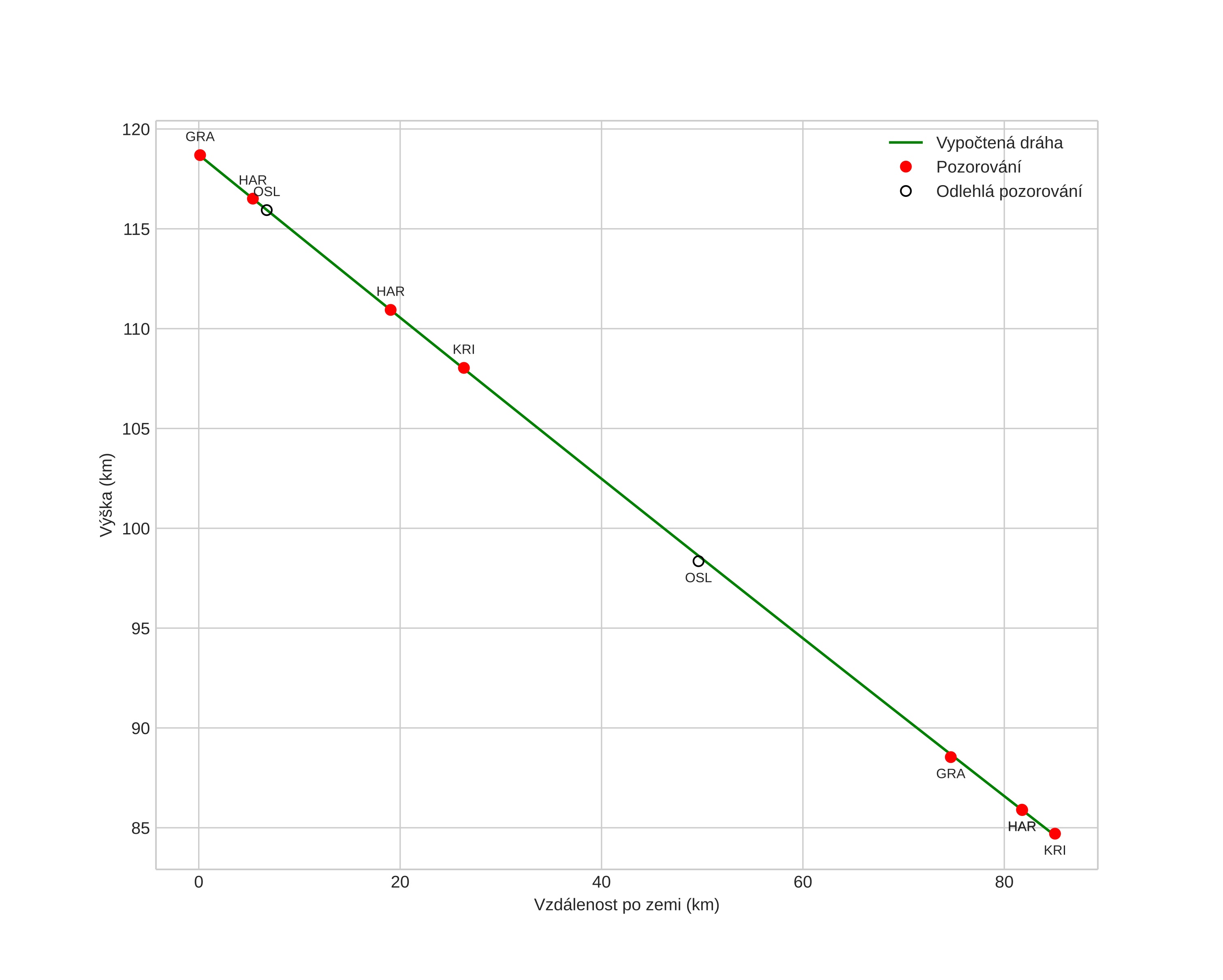
height profile
Atmosférická dráha meteoru:
Počáteční výška: 116,2 km
Konečná výška: 86,4 km
Počáteční poloha: 59,677N 9,878E
Konečná poloha: 59,149N 8,955E
Směr: 222,1°
Sklon: 20,8°
VstupnĂ­ rychlost: 68,0 km/s
Rektascenze radiantu: 05:40 (85,0°)
Deklinace radiantu: 40,7°
MeteorickĂ˝ roj: sporadickĂ˝
Elementy dráhy meteoroidu:
Vzdálenost v periheliu: 0,974 AU
Excentricita: 0,811
Sklon dráhy: 149,6°
Délka vzestupného uzlu: 169,6°
Argument perihelia: 158,1°
Střední anomálie: 1,4°
Epocha: 2019 SEP 12 21:18:58
orbit plot

NeinteraktivnĂ­ graf | InteraktivnĂ­ graf

position vs time
speed and acceleration